Chuyển động đều - Chuyển động không đều
Lý thuyết Vật lý 8 bài 3 Chuyển động đều - Chuyển động không đều
Chuyên đề Vật lý lớp 8: Chuyển động đều - Chuyển động không đều tổng hợp phần lý thuyết cơ bản được học trong bài 3 Vật lý 8, kèm bài tập trắc nghiệm giúp các em vận dụng lý thuyết vào trả lời các câu hỏi liên quan trong bài. Đây là tài liệu hay giúp các em học tốt Vật lý 8 hơn.
A. Giải bài tập Vật lý 8 bài 3
- Bài tập Vật lý 8 Bài 3: Chuyển động đều, chuyển động không đều
- Giải bài tập Vật lý 8 trang 12, 13 SGK: Chuyển động đều - Chuyển động không đều
- Giải bài tập SBT Vật lý lớp 8 bài 3: Chuyển động đều - Chuyển động không đều
B. Lý thuyết Vật lý 8 bài 3
I. TÓM TẮT LÍ THUYẾT
1. Chuyển động đều
Chuyển động đều là chuyển động mà vận tốc có độ lớn không thay đổi theo thời gian.
Ví dụ:
Chuyển động của đầu cánh quạt khi quạt quay ổn định
Chuyển động của vệ tinh nhân tạo bay xung quanh Trái Đất

2. Chuyển động không đều
Chuyển động không đều là chuyển động mà vận tốc có độ lớn thay đổi theo thời gian.
Ví dụ: Chuyển động của xe ô tô trên đường, lúc nhanh lúc chậm khác nhau, vận tốc của ô tô thay đổi theo thời gian ⇨ chuyển động đó là chuyển động không đều.
3. Vận tốc trung bình của chuyển động không đều
Vận tốc trung bình của một chuyển động không đều trên một quãng đường đựơc tính bằng công thức:

Trong đó:
s là quãng đường đi được
t là thời gian đi hết quãng đường đó.
Chú ý: Khi nói đến vận tốc trung bình phải nói rõ vận tốc trung bình đó tính trên đoạn đường nào vì trên các đoạn đường khác nhau, vận tốc trung bình có thể khác nhau.
II. PHƯƠNG PHÁP GIẢI
1. Tính vận tốc trung bình của chuyển động không đều
Công thức:

Trong đó: s1, s2…sn và t1, t2…tn là những quãng đường đi được và thời gian để đi hết quãng đường đó.
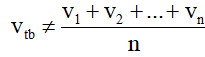
Chú ý: Vận tốc trung bình hoàn toàn khác với trung bình cộng vận tốc:

2. Phương pháp giải bài toán bằng đồ thị
- Thường chọn gốc tọa độ trùng với điểm xuất phát của một trong hai chuyển động. Chọn trục tung là Ox (biểu diễn quãng đường đi được), trục hoành là Ot (biểu diễn thời gian).

Đồ thị là một đường thẳng có thể đi qua gốc tọa độ O hoặc không, tùy thuộc vào ta chọn mốc tọa độ và mốc thời gian.
- Viết phương trình đường đi của mỗi chuyển động có dạng:
x = x0 + s = x0 + v(t – t0)
Trong đó: x0 là tọa độ ban đầu của vật.
t0 là thời điểm xuất phát.

- Vẽ đồ thị của mỗi chuyển động. Dựa vào giao điểm của các đồ thị để tìm thời điểm và vị trí gặp nhau của các chuyển động.
C. Trắc nghiệm Vật lý 8 bài 3
Bài 1: Khi nói đến vận tốc của các phương tiện giao thông như xe máy, ô tô, xe lửa, máy bay… người ta nói đến
A. vận tốc tức thời.
B. vận tốc trung bình.
C. vận tốc lớn nhất có thể đạt được của phương tiện đó.
D. vận tốc nhỏ nhất có thể đạt được của phương tiện đó.
Khi nói đến vận tốc của các phương tiện giao thông như xe máy, ô tô, xe lửa, máy bay … người ta nói đến vận tốc trung bình
⇒ Đáp án B
Bài 2: Chuyển động đều là chuyển động có độ lớn vận tốc
A. không đổi trong suốt thời gian vật chuyển động.
B. không đổi trong suốt quãng đường đi.
C. luôn giữ không đổi, còn hướng của vận tốc có thể thay đổi.
D. Các câu A, B, C đều đúng.
Chuyển động đều là chuyển động mà vận tốc có độ lớn không đổi
⇒ Đáp án D
Bài 3: Chuyển động nào sau đây là chuyển động đều?
A. Vận động viên trượt tuyết từ dốc núi xuống.
B. Vận động viên chạy 100m đang về đích.
C. Máy bay bay từ Hà Nội vào Hồ Chí Minh.
D. Không có chuyển động nào kể trên là chuyển động đều.
Không có chuyển động nào kể trên là chuyển động đều
⇒ Đáp án D
Bài 4: Một người đi quãng đường s1 với vận tốc v1 hết t1 giây, đi quãng đường tiếp theo s2 với vận tốc v2 hết t2 giây. Dùng công thức nào để tính vận tốc trung bình của người này trên cả hai quãng đường s1 và s2?

D. Cả B và C đều đúng
Vận tốc trung bình của người này trên cả hai quãng đường s1 và s2 là: 
⇒ Đáp án B
Bài 5: Chuyển động nào sau đây là chuyển động không đều?
A. Cánh quạt quay ổn định.
B. Chiếc bè trôi theo dòng nước với vận tốc 5 km/h.
C. Tàu ngầm đang lặn sâu xuống nước.
D. Chuyển động của vệ tinh địa tĩnh quanh Trái Đất.
Chuyển động của tàu ngầm đang lặn sâu xuống nước là chuyển động không đều
⇒ Đáp án C
Bài 6: Một ô tô lên dốc với vận tốc 16 km/h, khi xuống lại dốc đó, ô tô này chuyển động nhanh gấp đôi khi lên dốc. Vận tốc trung bình của ô tô trong cả hai đoạn đường lên dốc và xuống dốc là:
A. 24 km/h B. 32 km/h C. 21,33 km/h D. 26 km/h
Gọi s là độ dài quãng đường dốc

Vận tốc trung bình của ô tô trong cả hai đoạn đường là:

⇒ Đáp án C
Bài 7: Một máy bay chở hành khách bay giữa hai thành phố A và B. Khi xuôi gió thời gian bay là 1h30’, còn khi ngược gió thời gian bay là 1h45’. Biết vận tốc gió luôn không đổi là 10 m/s. Vận tốc của máy bay lúc không có gió là:
A. 468 km/h
B. 648 km/h
C. 684 km/h
D. Các phương án trên đều sai
- Gọi v là vận tốc của máy bay, vg là vận tốc của gió.
t1, t2 lần lượt là thời gian lúc xuôi gió và ngược gió.
t1 = 1h30’ = 5400 s
t2 = 1h45’ = 6300 s
- Do quãng đường của máy bay bay đi lúc xuôi gió và ngược gió là bằng nhau
⇒ t1(v + vg) = t2(v – vg)

⇒ 5400(v – 10) = 6300(v + 10)
⇒ 900v = 63000 + 54000 = 117000 ⇒ v = 130 m/s = 468 km/h
⇒ Đáp án A
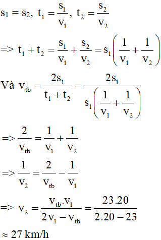
Bài 8: Một người đua xe đạp, trong nửa quãng đường đầu người đó đi với vận tốc 20 km/h. Tính vận tốc của người đó đi trong nửa đoạn đường còn lại. Biết rằng vận tốc trung bình trong cả đoạn đường là 23 km/h.
- Gọi s1, s2, s3, t1, t2, v1, v2 lần lượt là quãng đường, thời gian và vận tốc của người đó trong nửa quãng đường đầu và nửa quãng đường sau.
- Ta có:

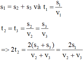
Bài 9: Người đi xe máy trên đoạn đường AB. Nửa đoạn đường đầu người ấy đi với vận tốc 30 km/h. Trong nửa thời gian còn lại đi với vận tốc 25 km/h. Cuối cùng người ấy đi với vận tốc 15 km/h. Tính vận tốc trung bình trên cả đoạn đường AB.
- Gọi s1, s2, t1, t2, t3, v1, v2, v3 lần lượt là quãng đường, thời gian và vận tốc trên mỗi đoạn đường.
- Ta có:

- Vận tốc trung bình:

Bài 10: Một chiếc thuyền máy chuyển động đều trên dòng sông. Vận tốc của thuyền khi xuôi dòng là 20 km/h và khi ngược dòng là 15 km/h.
a) Nếu thuyền không nổ máy thì quãng đường mà thuyền trôi theo dòng nước trong thời gian 30 phút là bao nhiêu?
b) Giả sử mặt nước đứng yên, thuyền có nổ máy thì vận tốc của thuyền lúc đó là bao nhiêu?
- Gọi vx, vng, vt và vn là vận tốc của thuyền khi xuôi dòng, khi ngược dòng, khi dòng nước không chảy và của dòng nước.
- Vận tốc của dòng nước chảy là:

Vậy quãng đường thuyền trôi được trong 30 phút = 0,5 giờ là:
s = vtrôi.t = vn.t = 2,5.0,5 = 1,25 km
Vận tốc thực của thuyền là:
vx = vt + vn ⇒ vt = vx – vn = 20 – 2,5 = 17,5 km/h
......................................
Ngoài ra, VnDoc.com đã thành lập group chia sẻ tài liệu học tập THCS miễn phí trên Facebook: Tài liệu học tập lớp 8. Mời các bạn học sinh tham gia nhóm, để có thể nhận được những tài liệu mới nhất.
Trên đây VnDoc đã giới thiệu tới các bạn lý thuyết Vật lý 8: Chuyển động đều - Chuyển động không đều. Hy vọng thông qua tài liệu này, các em có thể nắm vững lý thuyết về Chuyển động đều - Chuyển động không đều, từ đó vận dụng trả lời câu hỏi liên quan trong bài. Để có kết quả cao hơn trong học tập, VnDoc xin giới thiệu tới các bạn học sinh tài liệu Chuyên đề Vật lý 8, Giải bài tập Vật lý lớp 8, Tài liệu học tập lớp 8 mà VnDoc tổng hợp và giới thiệu tới các bạn đọc
| Đặt câu hỏi về học tập, giáo dục, giải bài tập của bạn tại chuyên mục Hỏi đáp của VnDoc | |
| Hỏi - Đáp | Truy cập ngay: Hỏi - Đáp học tập |