Sự chuyển hóa và bảo toàn cơ năng
Chuyên đề Vật lý lớp 8: Sự chuyển hóa và bảo toàn cơ năng được VnDoc sưu tầm và giới thiệu tới các bạn học sinh cùng quý thầy cô tham khảo. Nội dung tài liệu sẽ giúp các bạn học sinh học tốt môn Vật lý lớp 8 hiệu quả hơn. Mời các bạn tham khảo.
Lý thuyết bài: Sự chuyển hóa và bảo toàn cơ năng
A. Lý thuyết
1. Sự chuyển hóa của các dạng cơ năng
Động năng có thể chuyển hóa thành thế năng, ngược lại thế năng có thể chuyển hóa thành động năng.
Ví dụ:
- Khi người nhảy dù từ máy bay rơi xuống mặt đất, có sự chuyển hóa cơ năng từ thế năng sang động năng.

- Trong các công viên giải trí, trò chơi tàu lượn siêu tốc luôn gây cảm giác mạnh. Trong quá trình tàu chuyển động, có sự chuyển hóa từ động năng sang thế năng và ngược lại.

- Nước trên cao có thế năng rất lớn, khi nước đổ xuống thế năng này có thể chuyển hóa thành động năng làm quay tuabin của máy phát điện.

Hình ảnh đập nước trên cao của nhà máy thủy điện Hòa Bình.
- Gió có nguồn động năng rất lớn, con người đã sử dụng động năng của gió để chạy các cối xay, gọi là cối xay gió.

2. Sự bảo toàn cơ năng
Trong quá trình cơ học, động năng và thế năng không tự nhiên sinh ra và cũng không tự nhiên mất đi, mà chỉ chuyển hóa từ dạng này sang dạng kia. Cơ năng luôn được bảo toàn.
Ví dụ: Một vật được cung cấp thế năng hấp dẫn ban đầu bằng 2000J bằng cách đưa vật lên dộ cao h, sau đó thả vật rơi xuống. Nếu tại một thời điểm nào đó thế năng của vật giảm đi và chỉ còn 800J thì động năng của vật lúc đó đã tăng lên đến 1200J sao cho tổng động năng và thế năng tại mọi thời điểm luôn bằng cơ năng ban đầu.
B. Trắc nghiệm
Bài 1: Một viên bi lăn từ đỉnh mặt phẳng nghiêng như hình vẽ. Ở tại vị trí nào viên bi có thế năng lớn nhất.

A. Tại A B. Tại B C. Tại C D. Tại một vị trí khác
Vật có khối lượng càng lớn và ở càng cao thì thế năng hấp dẫn càng lớn.
⇒ Đáp án A
Bài 2: Quan sát dao động một con lắc như hình vẽ. Tại vị trí nào thì thế năng hấp dẫn là lớn nhất, nhỏ nhất?

A. Tại A là lớn nhất, tại B là nhỏ nhất.
B. Tại B là lớn nhất, tại C là nhỏ nhất.
C. Tại C là lớn nhất, tại B là nhỏ nhất.
D. Tại A và C là lớn nhất, tại B là nhỏ nhất.
Vật có khối lượng càng lớn và ở càng cao thì thế năng hấp dẫn càng lớn.
⇒ Tại A và C là lớn nhất, tại B là nhỏ nhất ⇒ Đáp án D
Bài 3: Phát biểu nào sau đây đầy đủ nhất khi nói về sự chuyển hóa cơ năng?
A. Động năng có thể chuyển hóa thành thế năng.
B. Thế năng có thể chuyển hóa thành động năng.
C. Động năng và thế năng có thể chuyển hóa qua lại lẫn nhau, cơ năng không được bảo toàn.
D. Động năng có thể chuyển hóa thành thế năng và ngược lại.
Động năng có thể chuyển hóa thành thế năng và ngược lại.
⇒ Đáp án D
Bài 4: Thả một vật từ độ cao h xuống mặt đất. Hãy cho biết trong quá trình rơi cơ năng đã chuyển hóa như thế nào?
A. Động năng chuyển hóa thành thế năng.
B. Thế năng chuyển hóa thành động năng.
C. Không có sự chuyển hóa nào.
D. Động năng giảm còn thế năng tăng.
Trong quá trình rơi thế năng chuyển hóa thành động năng
⇒ Đáp án B
Bài 5: Điều nào sau đây là đúng khi nói về sự bảo toàn cơ năng.
A. Động năng chỉ có thể chuyển hóa thành thế năng.
B. Thế năng chỉ có thể chuyển hóa thành động năng.
C. Động năng và thế năng có thể chuyển hóa lẫn nhau, nhưng cơ năng được bảo toàn.
D. Động năng và thế năng có thể chuyển hóa lẫn nhau, nhưng cơ năng không được bảo toàn.
Động năng và thế năng có thể chuyển hóa lẫn nhau, nhưng cơ năng được bảo toàn.
⇒ Đáp án C
Bài 6: Quan sát trường hợp quả bóng rơi chạm đất, nó nảy lên. Trong thời gian nảy lên thế năng và động năng của nó thay đổi như thế nào?
A. Động năng tăng, thế năng giảm.
B. Động năng và thế năng đều tăng.
C. Động năng và thế năng đều giảm.
D. Động năng giảm, thế năng tăng.
Quả bóng rơi chạm đất, nó nảy lên. Trong thời gian nảy lên động năng giảm, thế năng tăng
⇒ Đáp án D
Bài 7: Trong các trường hợp sau, trường hợp nào có sự chuyển hóa thế năng thành động năng?
A. Mũi tên được bắn đi từ cung.
B. Nước trên đập cao chảy xuống.
C. Hòn bi lăn từ đỉnh dốc xuống dưới.
D. Cả ba trường hợp trên.
Mũi tên được bắn đi từ cung, nước trên đập cao chảy xuống, hòn bi lăn từ đỉnh dốc xuống dưới có sự chuyển hóa thế năng thành động năng
⇒ Đáp án D
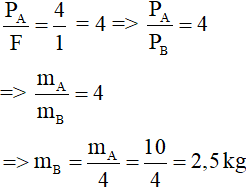
Bài 8: Người ta dùng vật B kéo vật A (có khối lượng mA = 10 kg) chuyển động đều đi trên mặt phẳng nghiêng như hình bên. Biết CD = 4 m, DE = 1m. Bỏ qua ma sát, vật B phải có khối lượng bao nhiêu?
A. 4 kg B. 2,5 kg C. 1,5 kg D. 5 kg

- Tác dụng lên vật A có trọng lượng PA và lực kéo F của sợi dây có độ lớn bằng trọng lượng PB của vật B.

- Do bỏ qua ma sát nên theo tính chất của mặt phẳng nghiêng ta có:

⇒ Đáp án B
Bài 9: Cho hệ cơ học như hình vẽ, bỏ qua ma sát, khối lượng của lò xo. Lúc đầu hệ cân bằng. Nén lò xo một đoạn l sau đó thả ra.

Gọi O là vị trí ban đầu của vật (vị trí cân bằng). Khi nén lò xo một đoạn l, vật ở vị trí M, năng lượng của hệ dự trữ dưới dạng nào?
A. Động năng
B. Thế năng đàn hồi
C. Thế năng hấp dẫn
D. Cơ năng
Năng lượng của hệ dự trữ dưới dạng thế năng đàn hồi
⇒ Đáp án B
Bài 10: Cho hệ cơ học như hình vẽ, bỏ qua ma sát, khối lượng của lò xo. Lúc đầu hệ cân bằng. Nén lò xo một đoạn l sau đó thả ra.

Khi chuyển động từ M đến O, động năng và thế năng của vật thay đổi như thế nào?
A. Động năng giảm, thế năng tăng.
B. Động năng tăng, thế năng giảm.
C. Động năng và thế năng không thay đổi.
D. Động năng tăng, thế năng không thay đổi.
Khi chuyển động từ M đến O, động năng tăng và thế năng giảm
⇒ Đáp án B
Trên đây VnDoc đã giới thiệu tới các bạn lý thuyết Vật lý 8: Sự chuyển hóa và bảo toàn cơ năng. Để có kết quả cao hơn trong học tập, VnDoc xin giới thiệu tới các bạn học sinh tài liệu Chuyên đề Vật lý 8, Giải bài tập Vật lý lớp 8, Giải bài tập Vật Lí 8, Tài liệu học tập lớp 8 mà VnDoc tổng hợp và giới thiệu tới các bạn đọc