Giải SBT Vật lý 8 bài 3: Chuyển động đều - Chuyển động không đều
Giải SBT Vật lý 8 bài 3: Chuyển động đều - Chuyển động không đều tổng hợp câu hỏi và đáp án cho các câu hỏi trong sách bài tập Vật lý 8 trang 8, trang 9, trang 10, trang 11. Tài liệu được biên soạn chi tiết dễ hiểu, giúp các em củng cố và nâng cao kiến thức được học trong bài 3 Vật lý 8 về Chuyển động đều - Chuyển động không đều. Sau đây mời các em tham khảo chi tiết.
Giải bài tập SBT Vật lý lớp 8 bài 3
- Bài 3.1 SBT Vật lý 8
- Bài 3.2 SBT Vật lý 8
- Bài 3.3 SBT Vật lý 8
- Bài 3.4 SBT Vật lý 8
- Bài 3.5 SBT Vật lý 8
- Bài 3.6 SBT Vật lý 8
- Bài 3.7 SBT Vật lý 8
- Bài 3.8 SBT Vật lý 8
- Bài 3.9 SBT Vật lý 8
- Bài 3.10 SBT Vật lý 8
- Bài 3.11 SBT Vật lý 8
- Bài 3.12 SBT Vật lý 8
- Bài 3.13 SBT Vật lý 8
- Bài 3.14 SBT Vật lý 8
- Bài 3.15 SBT Vật lý 8
- Bài 3.16 SBT Vật lý 8
- Bài 3.17 SBT Vật lý 8
- Bài 3.18 SBT Vật lý 8
- Bài 3.19 SBT Vật lý 8
Bài 3.1 SBT Vật lý 8
Bài tập Vật lý 8 bài 3.1 trang 8 Sách bài tập (SBT) Vật lí 8
Hình 3.1 ghi lại các vị trí của hòn bi khi nó lăn từ A đến D trên các đoạn đường AB, BC, CD sau những khoảng thời gian bằng nhau. Trong các câu của mỗi phần sau đây, câu nào mô tả đúng tính chất chuyển động của hòn bi?

Phần 1
A. Hòn bi chuyển động đều trên đoạn đường AB.
B. Hòn bi chuyến động đều trên đoạn đường CD.
C. Hòn bi chuyển động đều trên đoạn đường BC.
D. Hòn bi chuyến động đều trên cả quãng đường từ A đến D.
Phần 2
A. Hòn bi chuyển động nhanh dần trên đoạn đường AB.
B. Hòn bi chuyến động nhanh dần trên đoạn đường BC.
C. Hòn bi chuyển động nhanh dần trên đoạn đường CD.
D. Hòn bi chuyến động nhanh dần trên suốt đoạn đường AD.
Giải
Phần 1: C
Phần 2: A
Bài 3.2 SBT Vật lý 8
Bài tập Vật lý 8 bài 3.2 trang 8 Sách bài tập (SBT) Vật lí 8
Một người đi quãng đường S1 với vận tốc v1 hết t1 giây, đi quãng đường tiếp theo S2 với vận tốc v2 hết t2 giây. Dùng công thức nào để tính vận tốc trung bình của người này trên cả hai quãng đường S1 và S2?
A.
\({v_{tb}} = \dfrac{{v_1} + {v_2}}{2}\)
B.
\({v_{tb}} = \dfrac{v_1}{s_1} + \dfrac{v_2}{s_2}\)
C.
\({v_{tb}} = \dfrac{{s_1} + {s_2}}{{t_1} + {t_2}}\)
D. Cả ba công thức trên đều không đúng.
Giải
=> Chọn C
Bài 3.3 SBT Vật lý 8
Bài tập Vật lý 8 bài 3.3 trang 9 Sách bài tập (SBT) Vật lí 8
Một người đi bộ đều trên quãng đường đầu dài 3km với vận tốc 2m/s. Quãng đường tiếp theo dài 1,95km, người đó đi hết 0,5h. Tính vận tốc trung bình của người đó trên cả hai quãng đường.
Giải
Vận tốc trung bình trên cả quãng đường:

Bài 3.4 SBT Vật lý 8
Bài tập Vật lý 8 bài 3.4 trang 9 Sách bài tập (SBT) Vật lí 8
Kỉ lục thế giới về chạy 100m do lực sĩ Tim - người Mĩ - đạt được là 9,86 giây.
a) Chuyển động của vận động viên này trong cuộc đua là đều hay không đều? Tại sao?
b) Tính vận tốc trung bình của vận động viên này ra m/s và km/h.
Giải
a) Không đều
b) vtb = s/t ≈ 10,22m/s ≈ 36,8km/h
Bài 3.5 SBT Vật lý 8
Bài tập Vật lý 8 bài 3.5 trang 9 Sách bài tập (SBT) Vật lí 8
Cứ sau 20s, người ta lại ghi quãng đường chạy được của một vận động viên chạy 1000m. Kết quả như sau:
|
Thời gian (s) |
0 |
20 |
40 |
60 |
80 |
100 |
120 |
140 |
160 |
180 |
|
Quãng đường (m) |
0 |
140 |
340 |
428 |
516 |
604 |
692 |
780 |
880 |
1000 |
a) Tính vận tốc trung bình của vận động viên trong mỗi khoảng thời gian. Có nhận xét gì về chuyển động của vận động viên này trong cuộc đua ?
b) Tính vận tốc trung bình của vận động viên trong cả chặng đường đua.
Giải
a) 7m/s; 10m/s; 4,4m/s; 4,4m/s; 4,4m/s; 4,4m/s; 4,4m/s; 4,4m/s; 5m/s; 6m/s.
Nhận xét: vận tốc chuyển động của vận động viên luôn thay đổi. Lúc xuất phát thì tăng tốc. Sau đó giảm xuống chuyển động đều, gần về đến đích lại tăng tốc.
b) 5,56m/s.
Bài 3.6 SBT Vật lý 8
Bài tập Vật lý 8 bài 3.6 trang 9 Sách bài tập (SBT) Vật lí 8
Một vận động viên đua xe đạp vô địch thế giới đã thực hiện cuộc đua vượt đèo với kết quả như sau (H.3.2):

Quãng đường từ A đến B: 45km trong 2 giờ 15 phút.
Quãng đường từ B đến C: 30km trong 24 phút.
Quãng đường từ c đến D: 10km trong 1/4 giờ.
Hãy tính:
a) Vận tốc trung bình trên mỗi quãng đường.
b) Vận tốc trung bình trên cả quãng đường đuaế
Giải
a) Vận tốc trung bình trên mỗi quãng đường: 5,56m/s; 20,83m/s; 11,1 m/s
b) Vận tốc trung bình trên cả quãng đường: Vtb = 8,14 m/s
Bài 3.7 SBT Vật lý 8
Bài tập Vật lý 8 bài 3.7 trang 9 Sách bài tập (SBT) Vật lí 8
Một người đi xe đạp đi nửa quãng đường đầu với vận tốc v1 = 12km/h, nửa còn lại với vận tốc v2 nào đó. Biết vận tốc trung bình trên cả quãng đường là 8km/h. Hãy tính vận tốc v2.
Giải
Gọi s là chiều dài nửa quãng đường
Thời gian đi hết nửa quãng đường đầu với vận tốc v1 là t1 = s/v1 (1)
Thời gian đi hết nửa quãng đường còn lại với vận tốc v2 là t2 = s/v2 (2)
Vận tốc trung bình của người đi xe đạp trên quãng đường là vtb = 2s/(t1 + t2) (3)
Kết hợp (1); (2); (3) có: 1/v1 + 1/v2 = 2/vtb
Thay số vtb = 8km/h; v1 = 12km/h
Vận tốc trung bình của người đi xe ở nửa quãng đường sau là v2 = 6km/h
Bài 3.8 SBT Vật lý 8
Bài tập Vật lý 8 bài 3.8 trang 10 Sách bài tập (SBT) Vật lí 8
Chuyển động nào sau đây là chuyển động đều?
A. Vận động viên trượt tuyết từ dốc núi xuống
B. Vận động viên chạy 100m đang về đích
C. Máy bay bay từ Hà Nội vào TP Hồ Chí Minh
D. Không có chuyển động nào kể trên là chuyển động đều.
Giải
=> Chọn D
Bài 3.9 SBT Vật lý 8
Bài tập Vật lý 8 bài 3.9 trang 10 Sách bài tập (SBT) Vật lí 8
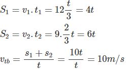
Một vật chuyển động không đều. Biết vận tốc trung bình của vật trong 1/3 thời gian đầu bằng 12m/s; trong thời gian còn lại bằng 9m/s. Vận tốc trung bình của vật trong suốt thời gian chuyển động là
A. 10,5m/s
B. 10m/s
c. 9,8m/s
D. 11 m/s
Giải
=> Chọn B
Ta có:

Bài 3.10 SBT Vật lý 8
Bài tập Vật lý 8 bài 3.10 trang 10 Sách bài tập (SBT) Vật lí 8
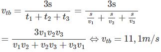
Một ô tô chuyển động trên chặng đường gồm ba đoạn liên tiếp cùng chiều dài. Vận tốc của xe trên mỗi đoạn là v1 = 12m/s; v2 = 8m/s; v3 = 16m/s. Tính vận tốc trung bình của ôtô cả chặng đường.
Giải:
Vận tốc trung bình:

Bài 3.11 SBT Vật lý 8
Bài tập Vật lý 8 bài 3.11 trang 10 Sách bài tập (SBT) Vật lí 8
Vòng chạy quanh sân trường dài 400m. Học sinh chạy thi cùng xuất phát từ một điểm. Biết vận tốc của các em lần lượt v1 = 4,8m/s và v2 = 4m/s; Tính thời gian ngắn nhất để hai em gặp nhau trên đường chạy.
Giải
Vì em thứ nhất chạy nhanh hơn em thứ hai nên trong một giây em thứ nhất vượt xa em thứ hai một đoạn đường là v1 – v2 = 0,8m.
Em thứ nhất muốn gặp em thứ hai trong khoảng thời gian ngắn nhất thì em thứ nhất phải vượt em thứ hai đúng 1 vòng sân.
Vậy thời gian ngắn nhất đê hai em gặp nhau trên đường chạy:
t = 400/0,8 = 500s = 8phút 20s
Bài 3.12 SBT Vật lý 8
Bài tập Vật lý 8 bài 3.12 trang 10 Sách bài tập (SBT) Vật lí 8
Hà Nội cách Đồ Sơn 120km. Một ôtô rời Hà Nội đi Đồ Sơn với vận tốc 45km/h. Một người đi xe đạp với vận tốc 15km/h xuất phát cùng lúc theo hướng ngược lại từ Đồ Sơn về Hà Nội.
a) Sau bao lâu ôtô và xe đạp gặp nhau?
b) Nơi gặp nhau cách Hà Nội bao xa?
Giải
a) Sau 1 giờ ôtô và xe đạp gần nhau 1 khoảng
v = v1 + v2 = 60km/h
Để đi hết 120km thì mất thời gian: t = 120/(v1 + v2) = 2h
b) Nơi gặp nhau cách Hà Nội: 45 x 2 = 90km
Bài 3.13 SBT Vật lý 8
Bài tập Vật lý 8 bài 3.13 trang 10 Sách bài tập (SBT) Vật lí 8
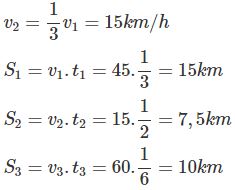
Một vận động viên đua xe đạp địa hình trên chặng đường AB gồm 3 đoạn: đường bằng, leo dốc và xuống dốc.
Trên đoạn đường bằng, xe chạy với vận tốc 45km/h trong 20 phút. Trên đoạn leo dốc xe chạy hết 30 phút, xuống dốc hết 10 phút. Biết vận tốc trung bình khi leo dốc bằng 1/3 vận tốc trên đường bằng; vận tốc xuống dốc gấp bổn lần vận tốc khi lên dốc. Tính độ dài của cả chặng đường AB.

Giải
Lần lượt tính vận tốc xe leo dốc
v2 =1/3 v1 =15km/h, vận tốc xuống dốc
v3 = 4v2 = 60km/h
Lần lượt tính quãng đường trên từng chặng đường:

Độ dài chặng đường S = S1 + S2 + S3 = 32,5km
Bài 3.14 SBT Vật lý 8
Bài tập Vật lý 8 bài 3.14 trang 10 Sách bài tập (SBT) Vật lí 8
Hai bến M, N cùng ở bên một bờ sông và cách nhau 120km. Nếu canô đi xuôi dòng từ M đến N thì mất 4h. Nếu canô chạy ngược dòng từ N về M với lực kéo của máy như khi xuôi dòng thì thời gian chạy tăng thêm 2h.
a) Tìm vận tốc của canô, của dòng nước
b) Tìm thời gian canô tắt máy đi từ M đến N?
Giải
a) Khi canô đi xuôi dòng: 120 = (vcn + vn).4 (1)
Khi canô đi ngược dòng: 120 = (vcn - vn).6 (2)
Giải hệ phương trình: vcn = 25km/h; vn = 5km/h
b) Canô tắt máy thì trôi với vận tốc của dòng nước nên:
Thời gian canô trôi từ M đến N là: 120/5 = 24h
Bài 3.15 SBT Vật lý 8
Bài tập Vật lý 8 bài 3.15 trang 11 Sách bài tập (SBT) Vật lí 8
Đoàn tàu bắt đầu vào ga chuyển động chậm dần. Một người quan sát đứng bên đường thấy toa thứ 6 qua trước mặt trong 9 giây. Biết thời gian toa sau qua trước mắt người quan sát nhiều hơn toa liền trước là 0,5 giây va chiều dài mỗi toa là 10m
a) Tìm thời gian toa thứ nhất qua trước mắt người quan sát
b) Tính vận tốc trung bình của đoàn tàu sáu toa lúc vào ga.
Giải
a) Thời gian toa sau qua trước mặt người quan sát nhiều hơn toa liền trước là 0,5s nên thời gian toa thứ nhất qua trước mặt người quan sát:
9 - 0,5.5 = 6,5 s
b) Tổng thời gian đoàn tàu qua trước mặt người quan sát:
9 + 8,5 + 8 + 7,5 + 7 + 6,5 = 46,5s
Chiều dài cả đoàn tàu: 6.10 = 60m
Vận tốc trung bình của đoàn tàu vào ga: 60 : 46,5 = 1,3m/s
Bài 3.16 SBT Vật lý 8
Bài tập Vật lý 8 bài 3.16 trang 11 Sách bài tập (SBT) Vật lí 8
Ôtô đang chuyển động với vận tốc 54km/h, gặp đoàn tàu đi ngược chiều. Người lái xe thấy đoàn tàu lướt qua trước mặt mình trong thời gian 30 giây. Biết vận tốc của tàu là 36km/h.
a) Tính chiều dài đoàn tàu?
b) Nếu ôtô chuyển động đuổi theo đoàn tàu thì thời gian để ôtô vượt hết chiều dài của đoàn tàu là bao nhiêu? Coi vận tốc tàu và ôtô không thay đổi?
Giải
54km/h = 15m/s; 36km/h = 10m/s
Ôtô và đoàn tàu chuyển động ngược chiều nên vận tốc của ôtô so với đoàn tàu: 15 + 10 = 25m/s
a) Chiều dài của đoàn tàu: 25 x 3 = 75m
b) Nếu ôtô vượt đoàn tàu thì vận tốc của ôtô so với đoàn tàu là:
15 - 10 = 5m/s Thời gian để ôtô vượt hết chiều dài đoàn tàu: 75 : 5 = 15s.
Bài 3.17 SBT Vật lý 8
Bài tập Vật lý 8 bài 3.17 trang 11 Sách bài tập (SBT) Vật lí 8
Chuyển động “lắc lư” của con lắc đồng hồ (H.3.3) là chuyển động:

A. Thẳng đều
B. Tròn đều
C. Không đều, từ vị trí 1 đến vị trí 2 là nhanh dần, còn từ vị trí 2 đến vị trí 3 là chậm dần
D. Không đều, từ vị trí 1 đến vị trí 2 là chậm dần, còn từ vị trí 2 đến vị trí 3 là nhanh dần.
Giải
=> Chọn C
Bài 3.18 SBT Vật lý 8
Bài tập Vật lý 8 bài 3.18 trang 11 Sách bài tập (SBT) Vật lí 8
Một xe môtô đi trên đoạn đường thứ nhất dài 2km với vận tốc 36km/h trên đoạn đường thứ hai dài 9km với vận tốc 15m/s và tiếp đến đoạn đường thứ ba dài 5km với vận tốc 45km/h. Vận tốc trung bình của môtô trên toàn bộ quãng đường là
A. 21km/h
B. 48km/h
C. 45km/h
D. 37km/h
Giải
=> Chọn B. 48km/h
Bài 3.19 SBT Vật lý 8
Bài tập Vật lý 8 bài 3.19 trang 11 Sách bài tập (SBT) Vật lí 8
Một đoàn tàu chuyển động thẳng đều với vận tốc 36km/h, người soát vé trên tàu đi về phía đầu tàu với vận tốc 3km/h. Vận tốc của người soát vé so với đất là:
A. 33km/h
B. 39km/h
C.36km/h
D. 30km/h
Giải
=> Chọn B. 39km/h
Vì vn/đ = vn/t + vt/đ = 3 + 36 = 39km/h
........................
Trên đây VnDoc đã gửi tới các em Giải bài tập SBT Vật lý lớp 8 bài 3: Chuyển động đều - Chuyển động không đều. Để xem lời giải những bài tiếp theo, mời các bạn vào chuyên mục Giải SBT Lý 8 trên VnDoc nhé. Hy vọng đây là tài liệu hữu ích giúp các em luyện giải Lý 8 hiệu quả và học tốt môn Vật lý 8 hơn.
Ngoài tài liệu trên, mời các bạn tham khảo thêm Giải Vở BT Vật Lý 8, Giải bài tập Vật Lí 8, Trắc nghiệm Vật lý 8 hoặc đề thi học học kì 1 lớp 8, đề thi học học kì 2 lớp 8 các môn Toán, Văn, Anh, Hóa, Lý, Địa, Sinh được cập nhật liên tục trên VnDoc. Chúc các bạn học tốt.
VnDoc.com đã thành lập group chia sẻ tài liệu học tập THCS miễn phí trên Facebook: Tài liệu học tập lớp 8. Mời các bạn học sinh tham gia nhóm, để có thể nhận được những tài liệu mới nhất.
Bài tiếp theo: Giải bài tập SBT Vật lý lớp 8 bài 3: Chuyển động đều - Chuyển động không đều
Xem thêm:
- Bài tập Vật lý 8 Bài 3: Chuyển động đều, chuyển động không đều
- Giải SGK Vật lý 8: Chuyển động đều - Chuyển động không đều
Ngoài ra, VnDoc.com đã thành lập group chia sẻ tài liệu học tập THCS miễn phí trên Facebook: Tài liệu học tập lớp 8. Mời các bạn học sinh tham gia nhóm, để có thể nhận được những tài liệu mới nhất.
Bài tiếp theo: Giải SBT Vật lý 8 bài 4: Biểu diễn lực