Giải bài tập SBT Vật lý lớp 8 bài 26: Năng suất tỏa nhiệt của nhiên liệu
Giải bài tập SBT Vật lý lớp 8 bài 26
Giải bài tập SBT Vật lý lớp 8 bài 26: Năng suất tỏa nhiệt của nhiên liệu hướng dẫn các em giải chi tiết các bài tập cơ bản và nâng cao trong vở bài tập Vật lý 8. Hi vọng đây sẽ là lời giải hay môn Vật lý lớp 8 dành cho quý thầy cô và các em học sinh tham khảo.
Giải bài tập SBT Vật lý lớp 8 Bài 25: Phương trình cân bằng nhiệt
Giải bài tập SGK Vật lý lớp 8 Bài 26: Năng suất tỏa nhiệt của nhiên liệu
Giải bài tập SBT Vật lý lớp 8 bài 27: Sự bảo toàn năng lượng trong các hiện tượng cơ và nhiệt
Bài 26.1 trang 71 Sách bài tập (SBT) Vật lí 8
Trong các mệnh đề có sử dụng cụm từ “năng suất tỏa nhiệt” sau đây, mệnh đề nào đúng?
A. Năng suất tỏa nhiệt của động cơ nhiệt.
B. Năng suất tỏa nhiệt của nguồn điện,
C. Năng suất tỏa nhiệt của nhiên liệu.
D. Năng suất tỏa nhiệt của một vật.
Giải:
Chọn C. Năng suất tỏa nhiệt của nhiên liệu.
Bài 26.2 trang 71 Sách bài tập (SBT) Vật lí 8
Hãy dựa vào bản đồ tiêu thụ, khai thác và dự trữ dầu vẽ ở hình để chọn câu trả lời đúng cho câu hỏi dưới đây.
Nếu duy trì mức độ khai thác dầu như trong bản đồ thì khu vực nào trên thế giới có nguy cơ cạn kiệt nguồn dự trữ dầu trong 10 năm tới?
A. Trung Đông
B. Đông Nam Á.
C. Bắc Mĩ.
D. Châu Âu.

Giải:
Chọn C. Bắc Mĩ.
Bài 26.3 trang 72 Sách bài tập (SBT) Vật lí 8
Người ta dùng bếp dầu hỏa để đun sôi 2 lít nước từ 20°C đựng trong một ấm nhôm có khối lượng 0,5kg. Tính lượng dầu hỏa cần thiết, biết chỉ có 30% nhiệt lượng do dầu tỏa ra làm nóng nước và ấm.
Lấy nhiệt dung riêng của nước là 4200J/kg.K, của nhôm là 880J/kg.K, năng suất tỏa nhiệt của dầu hỏa là 46.106 J/kg.
Giải

Bài 26.4 trang 72 Sách bài tập (SBT) Vật lí 8
Dùng một bếp dầu hỏa để đun sôi 2 lít nước từ 15°C thì mất 10 phút. Hỏi mỗi phút phải dùng bao nhiêu dầu hỏa ? Biết rằng chỉ có 40% nhiệt lượng do dầu hỏa tỏa ra làm nóng nước.
Lấy nhiệt dung riêng của nước là 4190 Jkg.K và năng suất tỏa nhiệt của dầu hỏa là 46.106 J/kg.
Giải:

Bài 26.5 trang 72 Sách bài tập (SBT) Vật lí 8
Tính hiệu suất của một bếp dầu, biết rằng phải tốn 150g dầu mới đun sôi được 4,5 lít nước ở 20°C.
Giải:

Bài 26.6 trang 72 Sách bài tập (SBT) Vật lí 8
Một bếp dùng khí đốt tự nhiên có hiệu suất 30%. Hỏi phải dùng bao nhiêu khí đốt để đun sôi 3 lít nước ở 30°C ? Biết năng suất tỏa nhiệt của khí đốt tự nhiên là 44.106 J/kg.
Giải:

Bài 26.7 trang 72 Sách bài tập (SBT) Vật lí 8
Năng suất tỏa nhiệt của nhiên liệu cho biết
A. phần nhiệt lượng chuyến thành công cơ học khi 1kg nhiên liệu bị đốt cháy hoàn toàn
B. phần nhiệt lượng không được chuyến thành công cơ học khi 1kg nhiên liệu bị đốt cháy hoàn toàn.
C. nhiệt lượng tỏa ra khi 1kg nhiên liệu bị đốt cháy hoàn toàn
D. tỉ số giữa phần nhiệt lượng chuyển thành công cơ học và phần nhiệt lượng tỏa ra môi trường xung quanh khi 1kg nhiên liệu bị đốt cháy hoàn toàn.
Giải
Chọn C. nhiệt lượng tỏa ra khi 1kg nhiên liệu bị đốt cháy hoàn toàn
Bài 26.8 trang 72 Sách bài tập (SBT) Vật lí 8
Nếu năng suất tỏa nhiệt của củi khô là 10.106 J/kg thì 1 tạ củi khô khi cháy hết tỏa ra một nhiệt lượng là:
A. 10 kJ
B. 10.108kJ c
C.10.109kJ
D. 10.106kJ
Giải
Chọn A
Vì Q = m.q = 100.10.106 = 10.108J = 106kJ
Bài 26.9 trang 72 Sách bài tập (SBT) Vật lí 8
Để đun sôi một lượng nước băng bếp dầu có hiệu suất 30%, phải dùng hết 1 lít dầu. Đế đun sôi cũng lượng nước trên với bếp dầu có hiệu suất 20%, thì phải dùng:
A. 2 lít dầu
B. 2/3 lít dầu
C. 1,5 lít dầu
D. 3 lít dầu
Giải:
Chọn C. 1,5 lít dầu

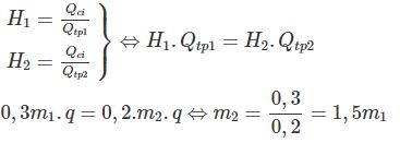
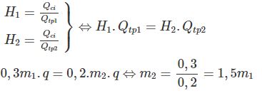
Bài 26.10 trang 73 Sách bài tập (SBT) Vật lí 8
Khi dùng lò hiệu suất H1 để làm chảy một lượng quặng, phải đốt hết m1 kilôgam nhiên liệu có năng suất tóa nhiệt q1. Nếu dùng lò có hiệu suất H2 đế làm chảy lượng quặng trên, phải đốt hết m = 3m1 kilôgam nhiên liệu có năng suất tỏa nhiệt q2 = 0,5q1. Công thức xác định quan hệ giữa H1 và H2 là:
A. H1 = H2
B. H1 = 2H2
C. H1 = 3H2
D. H1 = 1,5H2
Giải:
Chọn D. H1 = 1,5H2
Vì:

Bài 26.11 trang 73 Sách bài tập (SBT) Vật lí 8
Một bếp dầu hỏa có hiệu suất 30%
a) Tính nhiệt lượng có ích và nhiệt lượng hao phí khi dùng hết 30g dầu.
b) Với lượng dầu trên có thể đun sôi được bao nhiêu kilôgam nước có nhiệt độ ban đầu là 30°C.
Năng suất tỏa nhiệt của dầu hỏa là 44.10644.106 J/kg.
Giải:
a) Nhiệt lượng bếp dầu tỏa ra:
Qtp = mdqd = 0,03.44.106 = 1320 000J
Nhiệt lượng có ích mà bếp dầu cung cấp: Qci = Qtp.H = 396 000J
Nhiệt lượng hao phí: Qhp = Qtp - Qci = 924 000 J
b)
Khối lượng nước có thể đun sôi là:
![]()