Đề thi giữa học kì 1 môn Toán lớp 5 năm 2019 - 2020 - Đề 2
Đề thi giữa học kì 1 môn Toán lớp 5 năm 2019 - 2020 - Đề 2 có đáp án chi tiết giúp các em học sinh nắm được các dạng bài ôn tập, củng cố kiến thức chuẩn bị cho bài thi giữa học kì 1 lớp 5 đạt kết quả cao. Đồng thời đây cũng là tài liệu cho các thầy cô giáo tham khảo ra đề cho các em học sinh.
Đề thi giữa học kì 1 môn Toán lớp 5
Đề bài: Đề thi giữa học kì 1 môn Toán lớp 5
I. Trắc nghiệm khách quan
* Khoanh tròn vào chữ cái trước ý trả lời đúng:
1. (1đ) Phân số
\(\frac{1}{25}\)viết thành phân số thập phân là:
a.
\(\frac{2}{10}\)
b.
\(\frac{2}{100}\)
c.
\(\frac{4}{10}\)
d.
\(\frac{4}{100}\)
2.(1 đ) Viết
\(\frac{3}{10}\)dưới dạng số thập phân là:
a. 300
b. 3,100
c. 0,3
d. 0,03
3.(1 đ) Dãy số nào dưới đây được sắp xếp theo thứ tự từ lớn đến bé ?

4.(1 đ) Số thích hợp để viết vào chỗ chấm là:
a. 5 tấn 600 kg = .........kg.
a. 56 kg
b. 560 kg
c. 5600 kg
d. 5006 kg
b. 2 m2 5 dm2 = .........dm2
a. 25 dm2
b. 205 dm2
c. 250 dm2
d. 2005 dm2
II. Tự luận
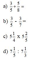
1.(2 đ) Tính:

2. (1đ) Tính giá trị của biểu thức sau:

3.(1 đ) Một khu đất hình chữ nhật có kích thước ghi theo hình vẽ bên:

Tính diện tích của khu đất đó.
4.(2 đ) Để lát xong một cái sân gạch trong 12 ngày cần 2 thợ xây. Hỏi muốn lát xong cái sân đó trong 3 ngày thì cần bao nhiêu thợ xây? (Mức làm việc của mỗi người như nhau).
>> Tham khảo: Đề thi giữa học kì 1 môn Toán lớp 5 năm 2019 - 2020
Đáp án: Đề thi giữa học kì 1 lớp 5 môn Toán lớp 5
I. Trắc nghiệm khách quan (4 điểm)
|
Câu hỏi |
1 |
2 |
3 |
4 |
|
|
Mục a |
Mục b |
||||
|
Đáp án |
d |
c |
d |
C |
b |
|
Điểm |
1 điểm |
1 điểm |
1 điểm |
0,5 điểm |
0,5 điểm |
II. Tự luận (6 điểm)
Câu 1: (2 điểm) Tính (mỗi ý đúng 0,5đ)

Câu 2: (1 điểm) Tính giá trị của biểu thức sau:

Câu 3: (1 điểm)
Bài giải
Diện tích của khu đất đó là: (0,25 đ)
400 x 200 = 80.000(m2) (0,5 đ)
Đáp số: 80.000 (m2) (0,25 đ)
Câu 4:(2 điểm)
Bài giải
Muốn làm xong công việc trong 1 ngày, cần:(0,25 điểm)
10 x 7 = 70(người) (0,25 điểm)
Để làm xong công việc trong 5 ngày, cần số người là:(0,25 điểm)
70 : 5 = 14 (người)(1 điểm)
Đáp số: 14 người (0,25 điểm)
Đề thi giữa học kì 1 môn Toán lớp 5 bao gồm 2 phần Trắc nghiệm và Tự luận với các dạng kiến thức trong tâm, chi tiết cho từng bài học, rèn luyện kỹ năng giải Toán về phân số, hỗn số, số thập phân, bảng đơn vị đo khối lượng, độ dài, diện tích. Ngoài ra, các em học sinh hoặc quý phụ huynh còn có thể tham khảo thêm đề thi học kì 1 lớp 5 và đề thi học kì 2 lớp 5 các môn Toán, Tiếng Việt, Tiếng Anh, Khoa, Sử, Địa theo chuẩn thông tư 22 của bộ Giáo Dục. Những đề thi này được VnDoc.com sưu tầm và chọn lọc từ các trường tiểu học trên cả nước nhằm mang lại cho học sinh lớp 5 những đề ôn thi học kì chất lượng nhất. Mời các em cùng quý phụ huynh tải miễn phí đề thi về và ôn luyện.