Đề thi giữa học kì 2 môn Toán lớp 10 trường THPT Đa Phúc, Hà Nội năm học 2014 - 2015
Đề thi giữa học kì 2 môn Toán lớp 10
Đề thi giữa học kì 2 môn Toán lớp 10 trường THPT Đa Phúc, Hà Nội năm học 2014 - 2015 được VnDoc.com sưu tầm và đăng tải, gồm 3 câu tự luận cùng đáp án đi kèm. Đây là đề ôn thi học kì 2 hữu ích, giúp các bạn luyện tập và củng cố kiến thức môn Toán hiệu quả, chuẩn bị sẵn sàng cho bài kiểm tra giữa kì II lớp 10.
Đề thi học kì 2 môn Toán lớp 10 trường THPT Đa Phúc, Hà Nội năm 2015
Đề thi giữa kỳ 2 môn Tiếng Anh lớp 10 trường THPT Đa Phúc, Hà Nội năm học 2015 - 2016
|
TRƯỜNG THPT ĐA PHÚC |
ĐỀ KIỂM TRA LỚP 10 |
|
Năm học 2014-2015 |
Môn: Toán |
|
--------š&›--------- |
(Thời gian: 45 phút) |
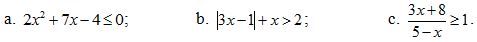
Câu 1: (6,0 điểm).
Giải các bất phương trình sau:
![]()
Câu 2: (2,0 điểm).
Cho f(x) = 4x2 + 2(1 - m)x + m2 - 3m + 1
a. Tìm các giá trị của tham số m để phương trình f(x) = 0 có hai nghiệm trái dấu.
b. Tìm các giá trị của tham số m để hàm số y= √f(x) có tập xác định là D = R.
Câu 3: (2,0 điểm).
a. Giải bất phương trình sau:
.
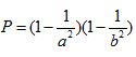
b. Cho a, b > 0 và a + b = 1. Tìm giá trị nhỏ nhất của biểu thức: 
Đáp án đề thi giữa học kì 2 môn Toán lớp 10



