Đề thi học kì 1 môn Vật lý lớp 11 trường THPT Đông Du, TP.HCM năm học 2015 - 2016
Đề thi học kì 1 môn Vật lý lớp 11
Đề thi học kì 1 môn Vật lý lớp 11 trường THPT Đông Du, TP.HCM năm học 2015 - 2016. Đề thi được các thầy cô giáo tổ Vật lý trường Đông Du biên soạn, đã có đáp án chính xác và thang điểm chi tiết cho từng câu hỏi. Mời các bạn tham khảo.
Đề thi học kì 1 môn Vật lý lớp 11 trường THPT Lương Thế Vinh, Gia Lai năm học 2015 - 2016
Đề thi học kì 1 môn Vật lý lớp 11 trường THPT Thuận Thành 1, Bắc Ninh năm học 2015 - 2016
| SỞ GD&ĐT TP.HCM TRƯỜNG THCS, THPT ĐÔNG DU |
ĐỀ THI HỌC KÌ 1 NĂM HỌC 2015 - 2016 MÔN: VẬT LÝ - LỚP 11 Thời gian làm bài: 45 phút |
Câu 1 (3.0 điểm)
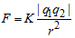
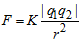
- Phát biểu định luật Cu - Lông.
- Viết biểu thức và nêu tên gọi, đơn vị từng đại lượng.
Câu 2 (3.0 điểm)
- Nêu định nghĩa và công thức tính cường độ dòng điện.
- Vận dụng: Một dây dẫn kim loại có electron tự do chạy qua và tạo thành 1 dòng điện không đổi. Biết rằng trong thời gian t = 10 giây có điện lượng q = 9,6C đi qua. Tìm cường độ dòng điện qua dây dẫn.
Câu 3 (4.0 điểm)
Cho sơ đồ mạch điện như hình vẽ:

R1 = 3; R2 = 6; R3 = 2; R4 = 9; R5 (6V-12W); E = 15V; r = 1,2.
a) Tìm điện trở tương đương mạch ngoài.
b) Đèn sáng như thế nào?
c) Tìm công suất của nguồn.
d) Tìm UCD.
-----------Hết--------
Học sinh không được sử dụng tài liệu. Cán bộ coi thi không giải thích gì thêm.
Đáp án đề thi học kì 1 môn Vật lý lớp 11
| SỞ GD&ĐT TP.HCM TRƯỜNG THCS, THPT ĐÔNG DU |
ĐÁP ÁN ĐỀ THI HỌC KÌ 1 NĂM HỌC 2015 - 2016 MÔN: VẬT LÝ - LỚP 11 |
Câu 1.
- Lực hút hay đẩy giữa hai diện tích điểm đặt trong chân không có phương trùng với đường thẳng nối hai điện tích điểm đó. 1.0
- Có độ lớn tỉ lệ thuận với tích độ lớn của hai điện tích và tỉ lệ nghịch với bình phương khoảng cách giữa chúng. 1.0
-
0.5 - Trong hệ SI: K = 9.109 Nm2/C2. Đơn vị điện tích là culông (C). 0.5
Câu 2.
- Cường độ dòng điện là đại lượng đặc trưng cho tác dụng mạnh, yếu của dòng điện. 1.0
- Nó được xác định bằng thương số của điện lượng Δq dịch chuyển qua tiết diện thẳng của vật dẫn trong khoảng thời gian Δt và khoảng thời gian đó. 1.0
0.5- Áp dụng:
0.5
Câu 3.
a) 1.0 điểm
Rđ = 3Ω
Iđm = 12A
R14 = 12Ω
R23 = 8Ω
RAB = 4,8Ω
Rtđ = 7,8
b) 1.0 điểm
Ic = 5/3A
Iđ < Iđm → đèn sáng mờ
c) P = 25W. 1.0
d) 1.0 điểm
UAB = 8V
I1 = I4 = 2/3A
I2 = I3 = 1A
UCD = - U1 + U2 = 4V