Đề thi học kì 2 Toán 9 năm 2024 - Đề 3
Đề thi học kì 2 lớp 9 môn Toán có đáp án - Đề số 3 được biên soạn và đăng tải. Nội dung đề thi gồm có 7 câu hỏi tự luận, đề thi gồm 02 trang. Với tổng thời gian học sinh làm bài thi là 90 phút, sẽ giúp ích cho các bạn học sinh ôn tập thử sức với các đề thi khác nhau. Sau đây là nội dung đề thi học kì 2 Toán 9, mời các bạn tham khảo.
Đề kiểm tra Toán 9 học kì 2 có đáp án
1. Đề thi Toán học kì 2 lớp 9 - Đề số 3
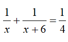
Bài 1 (2,0 điểm): Giải các phương trình và hệ phương trình sau:
| 1) |
2) \(\left\{ \begin{gathered}
\frac{1}{x} + \frac{1}{y} = \frac{1}{{12}} \hfill \\
\frac{8}{x} + \frac{{15}}{y} = 1 \hfill \\
\end{gathered} \right.\) |
Bài 2 (1,0 điểm): Cho hàm số
\(y = \frac{1}{2}{x^2}\) có đồ thị là (P) và hàm số
\(y = 4x - 6\) có đồ thị là (d). Tìm tọa độ giao điểm của (P) và (d) bằng phép tính.
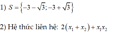
Bài 3 (2,0 điểm): Cho phương trình
\({x^2} - \left( {m - 3} \right)x - 2m = 0\)(1)
1) Giải phương trình (1) tại m = -3.
2) Tìm m để phương trình (1) có hai nghiệm
\({x_1};\,\,\,{x_2}\). Tìm hệ thức liên hệ giữa
\({x_1};\,\,\,{x_2}\) không phụ thuộc vào m.
Bài 4 (1,0 điểm): Giải bài toán bằng cách lập phương trình bậc 2:
Hai đội công nhân cùng sửa một đoạn đường. Nếu họ cùng làm thì trong 4 ngày sẽ xong. Nếu làm riêng thì đội thứ nhất hoàn thành công việc nhanh hơn đội thứ hai là 6 ngày. Hỏi nếu làm riêng thì mỗi đội phải làm xong trong bao nhiêu ngày để xong công việc?
Bài 5 (0,5 điểm): Cho đường tròn (O; 5cm) và cung AB có số đo 1200. Tính độ dài cung AB và diện tích hình quạt AOB.
Bài 6 (0,5 điểm): Chiều cao của một hình trụ bằng 6 lần bán kính đường tròn đáy. Diện tích xung quanh hình trụ là
\(300\pi\)cm2. Tính thể tích hình trụ đó.
Bài 7 (3,0 điểm): Cho tứ giác ABCD (AD > BC) nội tiếp đường tròn tâm O đường kính AB. Hai đường chéo tứ giác cắt nhau tại E. Gọi H là hình chiếu của E trên AB.
1) Chứng minh ADEH là tứ giác nội tiếp.
2) Tia CH cắt đường tròn tại điểm thứ hai là K. Gọi I là giao điểm của DK và AB. Chứng minh DI2 = AI.BI.
3) Khi tam giác DAB không cân, gọi M là trung điểm của EB, tia DC cắt tia HM tại N. Tia NB cắt đường tròn ngoại tiếp tam giác HMB tại điểm thứ hai là F. Chứng minh F thuộc đường tròn (O).
2. Đề thi Toán học kì 2 lớp 9 - Đề số 3
Bài 1:
1) S = {-2; -1; 1; 2}
2) (x; y) = (28; 21)
Bài 2:
Tọa độ giao điểm của (P) và (d) lần lượt là A(6; 18) và B(2; 2)
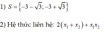
Bài 3:

Bài 4:
Phương trình bậc 2:
(với x là số ngày đội thứ nhất làm xong công việc)
Đội thứ nhất làm một mình xong đoạn đường trong 6 ngày và đội thứ hai làm một mình xong đoạn đường trong 12 ngày.
Bài 5:
Độ dài cung AB: 10,47cm
Diện tích hình quạt AOB: 26,17cm2
Bài 6:
Bán kính: 5cm
Chiều cao: 30cm
Thể tích hình trụ: 750πcm3
Bài 7:


-----------------
Ngoài Đề thi học kì 2 Toán 9 trên đây, mời các bạn học sinh tham khảo thêm các đề thi học kì 2 lớp 9 các môn Toán, Văn, Anh, Lý, Hóa, ... và các đề thi tuyển sinh vào lớp 10 môn Toán mà chúng tôi đã sưu tầm và chọn lọc. Với bài tập về chuyên đề này giúp các bạn rèn luyện thêm kỹ năng giải đề và làm bài tốt hơn. Chúc các bạn học tốt!
\(\left\{ \begin{gathered}
\frac{1}{x} + \frac{1}{y} = \frac{1}{{12}} \hfill \\
\frac{8}{x} + \frac{{15}}{y} = 1 \hfill \\
\end{gathered} \right.\)