Đề thi học sinh giỏi lớp 10 THPT tỉnh Hải Dương năm học 2012 - 2013 môn Toán - Có đáp án
Vndoc.com xin gửi đến các bạn: Đề thi học sinh giỏi lớp 10 THPT tỉnh Hải Dương năm học 2012 - 2013 môn Toán - Có đáp án.
Đề thi học sinh giỏi lớp 10 môn Toán:
SỞ GIÁO DỤC VÀ ĐÀO TẠO
|
KÌ THI CHỌN HỌC SINH GIỎI TỈNH
|
Thời gian làm bài: 180 phút (không kể thời gian giao đề)
Ngày thi: 05/04/2013
Câu 1 (2,5 điểm)
a) Cho hàm số y = x2 - 3x + 2 và hàm số y = -x + m. Tìm m để đồ thị các hàm số đó cắt nhau tại hai điểm phân biệt A, B đồng thời khoảng cách từ trung điểm I của đoạn thẳng AB đến các trục tọa độ bằng nhau.
b) Giải bất phương trình: 
Câu 2 (2,5 điểm)
a) Trong mặt phẳng tọa độ Oxy cho tam giác ABC có B(1; 2). Đường thẳng Δ là đường phân giác trong của góc A có phương trình 2x + y - 1 = 0; Khoảng cách từ C đến Δ gấp 3 lần khoảng cách từ B đến Δ. Tìm tọa độ của A và C biết C nằm trên trục tung.
b) Cho tam giác ABC vuông ở A, gọi α là góc giữa hai đường trung tuyến BM và CN của tam giác. Chứng minh rằng ![]()
Câu 3 (2,5 điểm)
a) Cho tam giác ABC. Gọi D, E lần lượt là các điểm thỏa mãn:
;
. Tìm vị trí của điểm K trên AD sao cho 3 điểm B, K, E thẳng hàng.
b) Cho tam giác ABC vuông ở A; BC = a; CA = b; AB = c. Xác định điểm I thỏa mãn hệ thức:
; Tìm điểm M sao cho biểu thức (b2MB2 + c2MC2 - 2a2MA2) đạt giá trị lớn nhất.
Câu 4 (2,5 điểm)
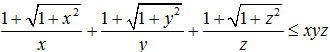
a) Giải phương trình: ![]()
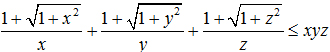
b) Cho x, y, z là các số thực dương thỏa mãn x + y + z = xyz. Chứng minh rằng: