Đề thi thử THPT Quốc gia môn Sinh học năm 2016 trường PTDT Nội trú Thái Nguyên
Đề thi thử THPT Quốc gia môn Sinh học năm 2016
Đề thi thử THPT Quốc gia môn Sinh học năm 2016 trường PTDT Nội trú Thái Nguyên là đề thi thử đại học môn Sinh có đáp án gồm 4 mã đề. Đây là tài liệu học tập hay dành cho các bạn tham khảo, nhằm tự ôn tập và luyện đề, chuẩn bị tốt cho các kì thi quan trọng sắp tới. Mời các bạn cùng tham khảo.
Đề thi thử THPT Quốc gia năm 2016 môn Sinh học tỉnh Thanh Hóa (Lần 1)
Đề thi thử THPT Quốc gia môn Sinh học năm 2016 trường THPT Chuyên Nguyễn Huệ, Hà Nội (Lần 3)
|
SỞ GD&ĐT THÁI NGUYÊN TRƯỜNG PTDT NỘI TRÚ THÁI NGUYÊN (Đề kiểm tra gồm có 6 trang) |
ĐỀ THI THỬ THPT QUỐC GIA NĂM 2016 MÔN SINH HỌC Thời gian làm bài 90 phút, không kể thời gian giao đề |
|
| MÃ ĐỀ 189 | ||
Câu 1: Ở một loài thực vật lưỡng bội, alen A quy định cây cao trội hoàn toàn so với alen a quy định cây thấp. Alen B quy định hoa đỏ trội hoàn toàn so với alen b quy định hoa vàng. Cho 3 cây thân thấp, hoa đỏ (P) tự thụ phấn, thu được F1. Biết rằng không có đột biến xảy ra. Theo lí thuyết, trong các trường hợp về tỉ lệ kiểu hình sau đây, có tối đa bao nhiêu trường hợp phù hợp với tỉ lệ kiểu hình của F1?
(1) 3 cây thân thấp, hoa đỏ : 1 cây thân thấp, hoa vàng.
(2) 5 cây thân thấp, hoa đỏ : 1 cây thân thấp, hoa vàng.
(3) 100% cây thân thấp, hoa đỏ.
(4) 11 cây thân thấp, hoa đỏ : 1 cây thân thấp, hoa vàng.
(5) 7 cây thân thấp, hoa đỏ : 1 cây thân thấp, hoa vàng.
A. 4. B. 2. C. 3. D. 5.
Câu 2: Cho các bệnh, tật và hội chứng di truyền sau đây ở người:(1) Ung thư máu; (2) Đao; (3) Pheninketô niệu; (4) Tocnơ; (5) Máu khó đông; (6) Claiphenter.
Có bao nhiêu bệnh, tật và hội chứng di truyền có thể gặp ở cả hai giới?
A. 4. B. 2. C. 1. D. 3.
Câu 3: Ở một loài thực vật, tính trạng màu sắc hoa do một cặp gen quy định, tính trạng hình dạng quả do 1 cặp gen khác quy định. Cho cây hoa đỏ, quả tròn thuần chủng giao phấn với cây hoa vàng, quả bầu dục thuần chủng (P), thu được F1 gồm 100% cây hoa đỏ, quả tròn. Cho các cây F1 tự thụ phấn, thu được F2 gồm 4 loại KH, trong đó cây hoa đỏ, quả bầu dục chiếm tỉ lệ 9%. Biết rằngtrong quá trình phát sinh giao tử đực và giao tử cái đều xảy ra hoán vị với tần số như nhau. Trong các kết luận sau, có bao nhiêu kết luận đúng với phép lai trên?
(1) F1 xảy ra HVG với tần số 20%
(2) F2 có 5 loại KG cùng quy định KH hoa đỏ, quả tròn
(3) Ở F2, số cá thể có KG giống KG của F1 chiếm tỉ lệ 50%
(4) F2 có 10 loại KG
(5) Tỉ lệ KH mang 2 tính trạng trội ở F2 là 66%
A. 4. B. 1. C. 3. D. 2.
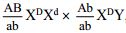
Câu 4: Cho biết mỗi cặp tính trạng do một cặp gen quy định và trội hoàn toàn. Tần số hoán vị giữa A và B là 20%. Ở phép lai:
, theo lí thuyết thì kiểu hình aaB-D- ở đời con chiếm tỉ lệ:
A. 3,75% B. 75% C. 56,25% D. 25%
Câu 5: Một loài thực vật có bộ nhiễm sắc thể 2n = 6. Trên mỗi cặp NST, xét một gen có hai alen. Do đột biến, trong loài đã xuất hiện 3 dạng thể ba tương ứng với các cặp NST. Theo lí thuyết, các thể ba này có tối đa bao nhiêu loại kiểu gen về các gen đang xét?
A. 36. B. 108. C. 64. D. 144.
Câu 6: Khi đánh cá, nếu nhiều mẻ lưới đều có tỉ lệ cá lớn chiếm ưu thế, cá bé rất ít thì ta hiểu rằng
A. quần thể cá đã rơi vào trạng thái bị khai thác quá mức.
B. nghề đánh cá cần phải giảm khai thác để tránh suy kiệt
C. quần thể cá đang bị đánh bắt ở mức độ vừa phải.
D. nghề đánh cá chưa khai thác hết tiềm năng cho phép.
Câu 7: Sự quần tụ giúp cho sinh vật:
1 - dễ dàng săn mồi và chống kẻ thù được tốt hơn.
2 - dễ kết cặp trong mùa sinh sản
3 - chống chịu các điều kiện bất lợi về khí hậu.
4 - có sức khỏe tốt hơn sống đơn độc.
Phương án đúng:
A. 2, 3, 4. B. 1, 3, 4. C. 1, 2, 4. D. 1, 2, 3.
Câu 8: Cho sơ đồ phả hệ sau:

Sơ đồ phả hệ trên mô tả sự di truyền của một bệnh ở người do một trong hai alen của một gen quy định. Biết rằng không xảy ra đột biến ở tất cả các cá thể trong phả hệ. Xác suất để cặp vợ chồng ở thế hệ III trong phả hệ này sinh ra đứa con gái bị mắc bệnh và con trai bình thường là:
A. 1/8, 1/4 B. 1/3, 1/6 C. 1/6, 1/3 D. 1/4, 2/3
Câu 9: Trong quá trình phát triển của loài, ổ sinh thái của loài bị thu hẹp chủ yếu là do tác đông của mối quan hệ
A. Ký sinh. B. Hợp tác. C. Vật ăn thịt con mồi. D. Cạnh tranh khác loài.
Câu 10: Nuôi ruồi giấm ở môi trường có nhiệt độ 250C thì thời gian thế hệ là 10 ngày. ở môi trường có nhiệt độ 180C thì thời gian thế hệ là 17 ngày. Tổng nhiệt cho một chu kỳ phát triển của ruồi giấm là:
A. 250 độ/ngày. B. 278 độ/ngày. C. 556 độ/ngày. D. 170 độ/ngày.
Câu 11: Một tế bào sinh tinh có kiểu gen
. Khi giảm phân không có đột biến và trao đổi chéo xẩy ra, có thể tạo nên số loại tinh trùng là:
A. 2 B. 8 C. 4 D. 2 hoặc 4
Câu 12: Cho phép lai sau đây: AaBbCcDdEe X aaBbccDdee
Biết gen trội là trội hoàn toàn, mỗi gen qui định 1 tính trạng, không có đột biến phát sinh. Có mấy kêt luận sau đây là đúng với phép lai trên:
(1) ti lệ đời con có kiểu hình lặn về tất cả tinh trạng là 1/128.
(2) sổ loại kiểu hình dược tạo thành là 32.
(3) ti lệ kiểu hình trội về tất cả các tính trạng là: 9/128
(4) số loại kiểu gen được tạo thành: 64
A. 3. B. 1. C. 2. D. 4.
Câu 13: Một cá thể ở một loài động vật có bộ nhiễm sắc thể 2n = 8. Khi quan sát quá trình giảm phân của 1000 tế bào sinh tinh, người ta thấy 10 tế bào có cặp nhiễm sắc thể số 1 không phân li trong giảm phân I, các sự kiện khác trong giảm phân diễn ra bình thường; các tế bào còn lại giảm phân bình thường. Theo lí thuyết, trong tổng số giao tử được tạo thành từ quá trình trên thì số giao tử có 3 nhiễm sắc thể chiếm tỉ lệ
A. 1%. B. 0,5%. C. 2%. D. 25%.
Câu 14: Cho những ví dụ sau:
(1) Cánh dơi và cánh côn trùng. (2) Vây ngực của cá voi và cánh dơi.
(3) Mang cá và mang tôm. (4) Chi trước của thú và tay người.
Những ví dụ về cơ quan tương đồng là
A. (1) và (4 B. (1) và (3). C. (2) và (4). D. (1) và (2).
Câu 15: Điểm giống nhau trong kết quả lai một tính trạng trong trường hợp trội hoàn toàn và trội không hoàn toàn là
A. kiểu gen F1 và F2. B. kiểu gen và kiểu hình F1.
C. kiểu hình F1 và F2. D. kiểu gen và kiểu hình F2.
(Còn tiếp)
Đáp án đề thi thử THPT Quốc gia môn Sinh học năm 2016
|
CÂU |
Mã 189 |
Mã 190 |
Mã 191 |
Mã 192 |
|
1 |
A |
D |
B |
D |
|
2 |
A |
D |
B |
C |
|
3 |
A |
C |
A |
A |
|
4 |
A |
A |
D |
C |
|
5 |
B |
C |
B |
D |
|
6 |
D |
D |
B |
B |
|
7 |
D |
D |
B |
A |
|
8 |
C |
A |
C |
D |
|
9 |
D |
B |
D |
A |
|
10 |
D |
A |
C |
A |
|
11 |
A |
D |
A |
C |
|
12 |
A |
D |
B |
B |
|
13 |
B |
A |
D |
D |
|
14 |
C |
D |
B |
C |
|
15 |
A |
D |
B |
A |
|
16 |
B |
A |
A |
C |
|
17 |
A |
B |
D |
A |
|
18 |
C |
A |
D |
A |
|
19 |
A |
B |
A |
D |
|
20 |
B |
D |
B |
A |
|
21 |
B |
C |
C |
B |
|
22 |
D |
C |
D |
A |
|
23 |
B |
C |
C |
C |
|
24 |
C |
B |
C |
A |
|
25 |
A |
C |
B |
B |
|
26 |
D |
B |
A |
B |
|
27 |
C |
A |
A |
D |
|
28 |
D |
B |
A |
D |
|
29 |
A |
C |
A |
A |
|
30 |
B |
B |
B |
D |
|
31 |
C |
C |
A |
A |
|
32 |
B |
D |
D |
D |
|
33 |
B |
A |
D |
C |
|
34 |
A |
B |
C |
B |
|
35 |
D |
A |
A |
D |
|
36 |
C |
B |
A |
B |
|
37 |
D |
C |
C |
C |
|
38 |
D |
D |
C |
C |
|
39 |
C |
A |
C |
C |
|
40 |
B |
D |
A |
C |
|
41 |
C |
B |
C |
B |
|
42 |
A |
C |
B |
D |
|
43 |
C |
B |
C |
C |
|
44 |
D |
A |
A |
B |
|
45 |
D |
C |
D |
D |
|
46 |
D |
C |
D |
B |
|
47 |
B |
A |
D |
B |
|
48 |
B |
B |
B |
A |
|
49 |
C |
A |
D |
B |
|
50 |
C |
B |
C |
B |