Đề thi thử THPT Quốc gia môn Toán tháng 3 năm 2016 trường THPT Chuyên Lê Quý Đôn, Đà Nẵng
Đề thi thử THPT Quốc gia môn Toán năm 2016
Đề thi thử THPT Quốc gia môn Toán tháng 3 năm 2016 trường THPT Chuyên Lê Quý Đôn, Đà Nẵng có 10 câu hỏi cùng đáp án đi kèm, đây là đề thi thử hữu ích dành cho các bạn thí sinh, giúp các bạn luyện tập và củng cố kiến thức môn Toán, từ đó chuẩn bị tốt nhất cho kì thi THPT Quốc gia 2016 sắp tới gần. Mời các bạn tham khảo.
Đề thi thử THPT Quốc gia môn Toán năm 2016 trường THPT Chuyên Lê Quý Đôn, Đà Nẵng
Đề thi thử THPT Quốc gia môn Toán lần 1 năm 2016 trường THPT Chuyên Vĩnh Phúc
Đề thi thử THPT Quốc gia năm 2016 môn Toán trường THPT Lê Lợi, Thanh Hóa
|
SỞ GD-ĐT THÀNH PHỐ ĐÀ NẴNG TRƯỜNG THPT CHUYÊN LÊ QUÝ ĐÔN ĐỀ ÔN TẬP SỐ 1 (Đề gồm 01 trang) |
THỬ SỨC TRƯỚC KÌ THI THPT QUỐC GIA NĂM 2016 Môn thi: TOÁN Thời gian làm bài: 180 phút, không kể thời gian phát đề |
Câu 1. (1,0 điểm). Khảo sát sự biến thiên và vẽ đồ thị của hàm số ![]()
Câu 2. (1,0 điểm). Tìm các điểm cực trị của đồ thị hàm số ![]()
Câu 3. (1,0 điểm).
a) Tìm số phức z thỏa mãn ![]()
b) Giải bất phương trình ![]()
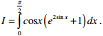
Câu 4. (1,0 điểm). Tính tích phân 
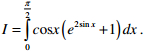
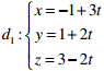
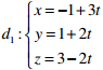
Câu 5. (1,0 điểm). Trong không gian với hệ tọa độ Oxyz, cho hai đường thẳng
và
. Chứng minh d1 và d2 cùng thuộc một mặt phẳng và viết phương trình mặt phẳng đó.
Câu 6. (1,0 điểm).
a) Tính giá trị của biểu thức
biết tan 2 = α.
b) Cho tập hợp E = {1; 2; 3; 4; 5; 6; 7} Gọi S là tập hợp các số tự nhiên gồm 5 chữ số khác nhau tạo thành từ các chữ số của tập hợp E. Tính số phần tử của tập hợp S. Lấy ngẫu nhiên một số từ tập hợp S; tìm xác suất để số lấy ra nhất thiết phải có mặt chữ số 3.
Câu 7. (1,0 điểm). Cho hình chóp S.ABC có đáy ABC là tam giác vuông tại A, AB a = 2 , AC = a, hình chiếu của S lên mp(ABC) trùng với trung điểm E của cạnh AB. Đường thẳng SC tạo với mp(ABC) một góc α sao cho tanα = √10/5. Tính theo a thể tích khối chóp S.ABC và khoảng cách giữa hai đường thẳng SA, CE.
Câu 8. (1,0 điểm). Trong mặt phẳng với hệ tọa độ Oxy , cho hình vuông ABCD. Điểm F(11/2; 3) là trung điểm của cạnh AD, điểm E là trung điểm của cạnh AB và điểm K thuộc cạnh CD sao cho KD = 3KC. Đường thẳng EK có phương trình là 19x - 8y - 18 = 0. Tìm tọa độ điểm C của hình vuông ABCD biết rằng điểm E có hoành độ nhỏ hơn 3.
Câu 9. (1,0 điểm). Tìm tất cả các số thực dương x thỏa mãn ![]()
Câu 10. (1,0 điểm). Cho các số thực dương a, b, c thỏa mãn điều kiện a + b + c = 9. Tìm giá trị nhỏ nhất của biểu thức

Đáp án đề thi thử THPT Quốc gia 2016 môn Toán
Bộ đề thi thử THPT Quốc gia năm 2016 môn Toán - Số 1
Bộ đề thi thử THPT Quốc gia năm 2016 môn Toán - Số 2
Câu 1:
Tập xác định: D = R \ {2}
Sự biến thiên:
Giới hạn và tiệm cận:

Câu 2:
Vì x2 - x + 1 > 0, ∀x nên tập xác định D = R.

(Còn tiếp)