Đề thi thử THPT Quốc gia năm 2016 môn Toán trường THPT Chuyên Vĩnh Phúc (Lần 3)
Đề thi thử THPT Quốc gia năm 2016 môn Toán
Đề thi thử THPT Quốc gia năm 2016 môn Toán trường THPT Chuyên Vĩnh Phúc (Lần 3) là đề thi thử đại học môn Toán có đáp án đi kèm được VnDoc.com sưu tầm và đăng tải. Đây là tài liệu ôn tập hữu ích dành cho các bạn thí sinh chuẩn bị bước vào kì thi THPT Quốc gia, xét tuyển luyện thi Đại học, Cao đẳng 2016. Mời các bạn tham khảo.
Tuyển tập 20 đề thi thử THPT Quốc gia môn Toán năm 2016
|
THPT CHUYÊN VĨNH PHÚC
|
ĐỀ THI THPT QUỐC GIA NĂM HỌC 2015-2016-LẦN 3 Môn: TOÁN Thời gian làm bài: 180 phút, không kể thời gian phát đề. |
Câu 1 (1,0 điểm). Khảo sát sự biến thiên và vẽ đồ thị của hàm số: x3 - 3x2 + 2.
Câu 2 (1,0 điểm).Tìm giá trị lớn nhất và giá trị nhỏ nhất của hàm số: f(x) = (2x + 1)/(x - 1) trên đoạn [3; 5]
Câu 3 (1,0 điểm).
a) Cho α ∈ (π/2; π) và sinα = 1/3. Tính giá trị biểu thức P = sin2α - cos2α.
b) Giải phương trình: 2sin2x + 2sin2x = sinx + cosx.
Câu 4 (1,0 điểm). Tính tích phân sau:
.
Câu 5 (1,0 điểm).
a) Giải bất phương trình: log2(3x - 2) - log2(6 - 5x) > 0.
b) Cho tập hợp E = {1; 2; 3; 4; 5; 6} và M là tập hợp tất cả các số gồm hai chữ số phân biệt lập từ E. Lấy ngẫu nhiên một số thuộc M. Tính xác suất để tổng hai chữ số của số đó lớn hơn 7.
Câu 6 (1,0 điểm). Trong không gian với hệ tọa độ (Oxyz), cho các điểm M (1; -2; 0), N (-3; 4; 2) và mặt phẳng (P): 2x + 2y + z - 7 = 0. Viết phương trình đường thẳng MN và tính khoảng cách từ trung điểm của đoạn thẳng MN đến mặt phẳng (P).
Câu 7 (1,0 điểm). Cho hình chóp S.ABC có đáy ABC là tam giác đều cạnh a Gọi I là trung điểm cạnh AB. Hình chiếu vuông góc của đỉnh S trên mặt phẳng đáy là trung điểm H của CI, góc giữa đường thẳng SA và mặt đáy bằng 600. Tính theo a thể tích khối chóp S.ABC và khoảng cách từ điểm H đến mặt phẳng (SBC).
Câu 8 (1,0 điểm). Trong mặt phẳng với hệ tọa độ Oxy, cho hai đường thẳng d1: 3x – 4y – 8 = 0, d2: 4x + 3y – 19 = 0. Viết phương trình đường tròn (C) tiếp xúc với hai đường thẳng d1 và d2, đồng thời cắt đường thẳng ∆: 2x – y – 2 = 0 tại hai điểm A, B sao cho AB = 2√5.
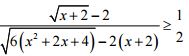
Câu 9 (1,0 điểm). Giải bất phương trình: 
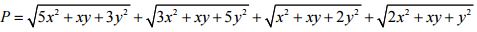
Câu 10 (1,0 điểm). Cho các số thực dương x, y thỏa mãn điều kiện x + y = 2016. Tìm giá trị nhỏ nhất của biểu thức:
![]()
Đáp án đề thi thử THPT Quốc gia năm 2016 môn Toán
Đề thi thử THPT Quốc gia môn Toán lần 1 năm 2016 trường THPT Chuyên Vĩnh Phúc
Đề thi thử Quốc gia môn Toán lần 2 năm 2015 trường THPT Chuyên Vĩnh Phúc
Đề thi thử THPT Quốc gia năm 2016 môn Toán trường THPT Chuyên Vĩnh Phúc (Lần 5)




