Đề thi thử THPT Quốc gia năm 2016 môn Toán trường THPT Đặng Thúc Hứa, Nghệ An (Lần 1)
Đề thi thử THPT Quốc gia 2016 môn Toán
Đề thi thử THPT Quốc gia năm 2016 môn Toán trường THPT Đặng Thúc Hứa, Nghệ An (Lần 1) là đề thi thử Đại học hữu ích dành cho các bạn học sinh lớp 12, những bạn chuẩn bị bước vào kì thi THPT Quốc gia môn Toán. Mời các bạn tham khảo.
Đề thi thử THPT Quốc gia năm 2016 môn Toán trường THPT Lê Lợi, Thanh Hóa (Lần 1)
Đề thi thử THPT Quốc gia môn Toán lần 1 năm 2016 trường THPT Chuyên Vĩnh Phúc
Đề thi thử THPT Quốc gia môn Toán năm 2016 Sở GD - ĐT Hà Nội
|
SỞ GIÁO DỤC VÀ ĐÀO TẠO NGHỆ AN TRƯỜNG THPT ĐẶNG THÚC HỨA |
ĐỀ THI THỬ THPT QUỐC GIA 2016 LẦN I Môn : TOÁN Thời gian làm bài: 180 phút , không kể thời gian phát đề ______________________________ |
Câu 1 (1,0 điểm). Khảo sát sự biến thiên và vẽ đồ thị hàm số y = x4 - 2x2 - 3.
Câu 2 (1,0 điểm). Tìm m để hàm số y = x3 - 3mx2 + 3(m2 - 1)x + 1 đạt cực tiểu tại x = 2.
Câu 3 (1,0 điểm).
a) Cho số phức z thỏa mãn (2 - i)z = 4 + 3i. Tìm phần thực và phần ảo của số phức ![]()
b) Giải phương trình log3(2.3x + 3) = 2x.
Câu 4 (1,0 điểm). Tính tích phân 
Câu 5 (1,0 điểm). Trong không gian với hệ tọa độ Oxyz cho điểm A(0;-1;-2) và B(1;1;1) mặt phẳng (P): x + 2y - 2z + 3 = 0. Viết phương trình đường thẳng d đi qua A và B. Tìm tọa độ điểm M thuộc d sao cho khoảng cách từ M đến (P) bằng 2.
Câu 6 (1,0 điểm).
a) Tính giá trị của biểu thức ![]()
b) Trong kì thi THPT Quốc Gia năm 2016 có 4 môn thi trắc nghiệm và 4 môn thi tự luận. Một giáo viên được bốc thăm ngẫu nhiên để phụ trách coi thi 5 môn. Tính xác suất để giáo viên đó được coi thi ít nhất 3 môn thi trắc nghiệm.
Câu 7 (1,0 điểm). Cho hình chóp S . ABCD có đáy ABCD là hình chữ nhật AB = a√2; BC = 2a. Tam giác SBC cân tại S và nằm trong mặt phẳng vuông góc với đáy, góc giữa đường thẳng SD và mặt phẳng (ABCD) bằng 60o. Tính theo a thể tích khối chóp S.ABCD và khoảng cách giữa SC và BD.
Câu 8 (1,0 điểm). Trong mặt phẳng với hệ toạ độ Oxy, cho tam giác ABC cân tại A, có đường cao AH. Gọi D là trung điểm của AH. Giả sử B(-1;-1) và E(2;0) là hình chiếu vuông góc của H lên CD. Tìm tọa độ các đỉnh còn lại của tam giác ABC biết A thuộc đường thẳng d: 2x - y + 1 = 0.
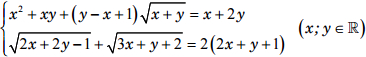
Câu 9 (1,0 điểm). Giải hệ phương trình. 
Câu 10 (1,0 điểm). Cho a, b, c là các số thực thuộc đoạn [1;2] và thỏa mãn a + b + c = 4.
Tìm giá trị lớn nhất của biểu thức ![]()
Đáp án đề thi thử THPT Quốc gia 2016 môn Toán
Bộ đề thi thử THPT Quốc gia năm 2016 môn Toán - Số 1
Bộ đề thi thử THPT Quốc gia năm 2016 môn Toán - Số 2
Câu 1:
- Tập xác định: R
- Sự biến thiên:

(Còn tiếp)