Giao diện mới của VnDoc Pro: Dễ sử dụng hơn - chỉ tập trung vào lớp bạn quan tâm. Vui lòng chọn lớp mà bạn quan tâm: Lưu và trải nghiệm
Đóng
Điểm danh hàng ngày
  • Hôm nay +3
  • Ngày 2 +3
  • Ngày 3 +3
  • Ngày 4 +3
  • Ngày 5 +3
  • Ngày 6 +3
  • Ngày 7 +5
Bạn đã điểm danh Hôm nay và nhận 3 điểm!
Nhắn tin Zalo VNDOC để nhận tư vấn mua gói Thành viên hoặc tải tài liệu Hotline hỗ trợ: 0936 120 169

Đề thi tuyển sinh lớp 10 THPT chuyên Nguyễn Du tỉnh Đăk Lăk năm 2012 - 2013 môn Toán

Lớp: Lớp 10
Loại File: Word
Phân loại: Tài liệu Tính phí

Đề giúp các bạn lớp 9 chuẩn bị thi tuyển vào lớp 10, Vndoc.com xin giới thiệu: Đề thi tuyển sinh lớp 10 THPT chuyên Nguyễn Du tỉnh Đăk Lăk năm 2012 - 2013 môn Toán.

Đề thi vào lớp 10 trường Nguyễn Du:

SỞ GIÁO DỤC VÀ ĐÀO TẠO
ĐĂK LĂK

ĐỀ THI CHÍNH THỨC

KỲ THI TUYỂN SINH LỚP 10 THPT CHUYÊN NGUYỄN DU
NĂM HỌC 2012 - 2013

MÔN THI: TOÁN
Ngày thi: 23/06/2012
Thời gian làm bài: 150 phút (không kể thời gian giao đề)

Câu 1: (3,0 điểm)

1) Giải phương trình: Đề thi tuyển sinh lớp 10 THPT chuyên Nguyễn Du tỉnh Đăk Lăk năm 2012 - 2013 môn Toán

2) Chứng minh rằng: Đề thi tuyển sinh lớp 10 THPT chuyên Nguyễn Du tỉnh Đăk Lăk năm 2012 - 2013 môn Toán

Câu 2: (3,0 điểm)

1) Tìm nghiệm nguyên của phương trình: 3xy + 6x + y - 52 = 0

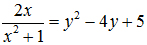
2) Tìm các số thực x, y thỏa mãn: Đề thi tuyển sinh lớp 10 THPT chuyên Nguyễn Du tỉnh Đăk Lăk năm 2012 - 2013 môn Toán

Câu 3: (2,0 điểm)

Cho đường tròn (O) đường kính AB = 2R. Gọi C là điểm bất kỳ thuộc (O) (0 < CA < CB). Qua B vẽ đường thẳng d vuông góc AB, tiếp tuyến tại C cắt đường thẳng d tại D và đường thẳng AB tại E, OC cắt đường thẳng d tại F.

1) Chứng minh tứ giác BCEF là hình thang.

2) Gọi G là giao điểm của AC và EF. Giả sử tứ giác ODCG là hình bình hành. Tính OF theo R.

Câu 4: (1,0 điểm)

Xác định các góc của tam giác ABC biết AC < AB, đường cao AH và đường trung tuyến AM chia góc thành ba phần bằng nhau.

Câu 5: (1,0 điểm)

Số thực x thay đổi và thỏa mãn điều kiện: x2 + (3 - x)2 ≥ 5. Tìm giá trị nhỏ nhất của biểu thức: A = x4 + (3 - x)4 + 6x2(3 - x)2.

Chọn file muốn tải về:
Đóng Chỉ thành viên VnDoc PRO/PROPLUS tải được nội dung này!
Đóng
79.000 / tháng
Đặc quyền các gói Thành viên
PRO
Phổ biến nhất
PRO+
Tải tài liệu Cao cấp 1 Lớp
30 lượt tải tài liệu
Xem nội dung bài viết
Trải nghiệm Không quảng cáo
Làm bài trắc nghiệm không giới hạn
Mua cả năm Tiết kiệm tới 48%
2

Có thể bạn quan tâm

Xác thực tài khoản!

Theo Nghị định 147/2024/ND-CP, bạn cần xác thực tài khoản trước khi sử dụng tính năng này. Chúng tôi sẽ gửi mã xác thực qua SMS hoặc Zalo tới số điện thoại mà bạn nhập dưới đây:

Số điện thoại chưa đúng định dạng!
Số điện thoại này đã được xác thực!
Bạn có thể dùng Sđt này đăng nhập tại đây!
Lỗi gửi SMS, liên hệ Admin
Sắp xếp theo
🖼️

Lớp 10

Xem thêm
🖼️

Gợi ý cho bạn

Xem thêm