Giao diện mới của VnDoc Pro: Dễ sử dụng hơn - chỉ tập trung vào lớp bạn quan tâm. Vui lòng chọn lớp mà bạn quan tâm: Lưu và trải nghiệm
Đóng
Điểm danh hàng ngày
  • Hôm nay +3
  • Ngày 2 +3
  • Ngày 3 +3
  • Ngày 4 +3
  • Ngày 5 +3
  • Ngày 6 +3
  • Ngày 7 +5
Bạn đã điểm danh Hôm nay và nhận 3 điểm!
Nhắn tin Zalo VNDOC để nhận tư vấn mua gói Thành viên hoặc tải tài liệu Hotline hỗ trợ: 0936 120 169

Đề thi tuyển sinh lớp 10 THPT tỉnh Tây Ninh năm học 2012 - 2013 môn Toán

Lớp: Lớp 10
Loại File: Word
Phân loại: Tài liệu Tính phí

Đề chuẩn bị cho kỳ thi vào cấp 3 sắp tới, Vndoc.com xin gửi đến các bạn: Đề thi tuyển sinh lớp 10 THPT tỉnh Tây Ninh năm học 2012 - 2013 môn Toán.

Đề thi tuyển sinh lớp 10 môn Toán:

SỞ GIÁO DỤC VÀ ĐÀO TẠO
TÂY NINH

ĐỀ THI CHÍNH THỨC

KỲ THI TUYỂN SINH VÀO LỚP 10 THPT
NĂM HỌC 2012 - 2013

MÔN THI: TOÁN
Ngày thi: 02/07/2012
Thời gian làm bài: 120 phút (không kể thời gian giao đề)

Câu 1: (1 điểm)

Thực hiện các phép tính:

Câu 2: (1 điểm)

Giải phương trình: x2 - 2x - 8 = 0

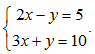
Câu 3: (1 điểm)

Giải hệ phương trình: .

Câu 4: (1 điểm)

Tìm x để mỗi biểu thức sau có nghĩa:

Câu 5: (1 điểm)

Vẽ đồ thị của hàm số y = x2

Câu 6: (1 điểm)

Cho phương trình x2 - 2(m +1)x + m2 + 3 = 0

a) Tìm m để phương trình có nghiệm.

b) Gọi x1, x2 là hai nghiệm của phương trình đã cho, tìm giá trị nhỏ nhất của biểu thức A = x1 + x2 + x1x2.

Câu 7: (1 điểm)

Tìm m để đồ thị hàm số y = 3x + m - 1 cắt trục tung tại điểm có tung độ bằng 4.

Câu 8: (1 điểm)

Cho tam giác ABC vuông tại A có đường cao là AH. Cho biết AB = 3cm, AC = 4cm. Hãy tìm độ dài đường cao AH.

Câu 9: (1 điểm)

Cho tam giác ABC vuông tại A. Nửa đường tròn đường kính AB cắt BC tại D. Trên cung AD lấy một điểm E. Nối BE và kéo dài cắt AC tại F. Chứng minh tứ giác CDEF là một tứ giác nội tiếp.

Câu 10: (1 điểm)

Trên đường tròn (O) dựng một dây cung AB có chiều dài không đổi bé hơn đường kính. Xác định vị trí của điểm M trên cung lớn sao cho chu vi tam giác AMB có giá trị lớn nhất.

Chọn file muốn tải về:
Đóng Chỉ thành viên VnDoc PRO/PROPLUS tải được nội dung này!
Đóng
79.000 / tháng
Đặc quyền các gói Thành viên
PRO
Phổ biến nhất
PRO+
Tải tài liệu Cao cấp 1 Lớp
30 lượt tải tài liệu
Xem nội dung bài viết
Trải nghiệm Không quảng cáo
Làm bài trắc nghiệm không giới hạn
Mua cả năm Tiết kiệm tới 48%
33

Có thể bạn quan tâm

Xác thực tài khoản!

Theo Nghị định 147/2024/ND-CP, bạn cần xác thực tài khoản trước khi sử dụng tính năng này. Chúng tôi sẽ gửi mã xác thực qua SMS hoặc Zalo tới số điện thoại mà bạn nhập dưới đây:

Số điện thoại chưa đúng định dạng!
Số điện thoại này đã được xác thực!
Bạn có thể dùng Sđt này đăng nhập tại đây!
Lỗi gửi SMS, liên hệ Admin
Sắp xếp theo
🖼️

Lớp 10

Xem thêm
🖼️

Gợi ý cho bạn

Xem thêm