Các dạng phương trình đường thẳng
Phương trình đường thẳng lớp 10
Trong môn Toán học, phương trình đường thẳng là một trong những chủ đề quan trọng và thường xuyên xuất hiện trong các bài thi, kiểm tra. Việc hiểu rõ các dạng phương trình đường thẳng giúp học sinh không chỉ giải quyết các bài toán hình học hiệu quả mà còn là tiền đề để học tốt các chuyên đề về hình học tọa độ, phương trình mặt phẳng trong không gian sau này. Bài viết này sẽ tổng hợp và phân tích các dạng phương trình đường thẳng cơ bản và nâng cao, từ phương trình tổng quát, phương trình tiếp tuyến, đến các dạng phương trình đặc biệt trong mặt phẳng tọa độ. Hãy cùng tìm hiểu chi tiết từng dạng và cách áp dụng chúng vào bài tập thực tế để dễ dàng làm quen với các kỹ thuật giải bài toán.
Loại 1: Các dạng phương trình đường thẳng
A. Tóm tắt lý thuyết
1. Phương trình tổng quát
* Định nghĩa: Phương trình:
là PTTQ của đường thẳng
nhận
làm vectơ pháp tuyến.
* Các dạng đặc biệt của phương trình đường thẳng.
nên
song song hoặc trùng với Oy.
nên
song song hoặc trùng với Ox.
nên
đi qua gốc tọa độ.
+) Phương trình dạng đoạn chắn
nên
qua A (a; 0) B(0;b) (ab khác 0)
+) Phương trình đường thẳng dạng hệ số góc y= kx+m (k được gọi là hệ số góc của đường thẳng)
Chú ý:
+) Ý nghĩa hình học của hệ số góc: Nếu
đặt
, gọi
là nửa đường thẳng
ở phía trên
. Khi đó
. (Hình 1)

+) Điều kiện để phương trình đường thẳng có thể quy được về dạng hệ số góc: phương trình đường thẳng
có thể đưa được về dạng hệ số góc nếu
.
Như vậy, đường thẳng có phương thẳng đứng
không có dạng hệ số góc.
2. Phương trình tham số và phương trình chính tắc
Phương trình tham số:
Hệ
là phương trình tham số của đường thẳng
qua
và nhận
làm vectơ chỉ phương, với
là tham số.
Phương trình tham số và phương trình chính tắc
Phương trình tham số: Hệ
là PTTS của đường thẳng
qua
và nhận
làm véc-tơ chỉ phương, với t là tham số.
Chú ý:
+) Ý nghĩa của phương trình tham số: - Thay mỗi
vào phương trình tham số, ta được một điểm
.
Điểm
thì có một số
sao cho
thỏa mãn hệ.
+) Một đường thẳng luôn có vô số PTTS.
Phương trình chính tắc:
là phương trình chính tắc của đường thẳng qua
và nhận
là một vectơ chi phương.
Một số bài toán cơ bản
Bài toán 1. Viết phương trình đường thẳng biết vectơ pháp tuyến và một điểm thuộc đường thẳng

Bài toán 2. Viết phương trình đường thẳng biết vectơ chi phương và một điểm thuộc đường thẳng

Bài toán 3. Viết phương trình đường thẳng đi qua một điểm và song song với một đường thẳng

Bài toán 4. Viết phương trình đường thẳng đi qua một điểm và vuông góc với một đường thẳng

Bài toán 5: Viết phương trình đường thẳng đi qua một điểm và có hệ số góc cho trước
![]()
Bài toán 6. Viết phương trình đường thẳng đi qua hai điểm
Đường thẳng đi qua hai điểm
và
chính là đường thẳng đi qua
và nhận vectơ
làm vectơ chỉ phương (Bài toán 2).
Bài toán 7. Viết phương trình đường trung trực của một đoạn thẳng
Quy về Bài toán 1: trung trực của đoạn thẳng
chính là đường thẳng đi qua trung điểm
của đoạn thẳng này và nhận
làm vectơ pháp tuyến.
Bài toán 8. Viết phương trình đường thẳng đi qua một điểm và tạo với
góc cho trước
đi qua
và tạo với
góc
.
Bài toán 9. Tìm hình chiếu vuông góc của một điểm lên một đường thẳng
Giả sử cần tìm hình chiếu
của điểm
lên đường thẳng
, ta làm như sau
-
Lập phương trình đường thẳng
qua
, vuông góc với
(Bài toán 4). -
là hình chiếu vuông góc của
lên
.
Bài toán 10. Tìm điểm đối xứng với một điểm qua một đường thẳng
Giả sử cần tìm điểm
đối xứng với điểm
qua đường thẳng
, ta làm như sau
-
Tìm hình chiếu
cùa điểm
lên đường thẳng
(Bài toán 9 ) -
đối xứng với
qua
đối xứng với
qua
.
B. Một số ví dụ
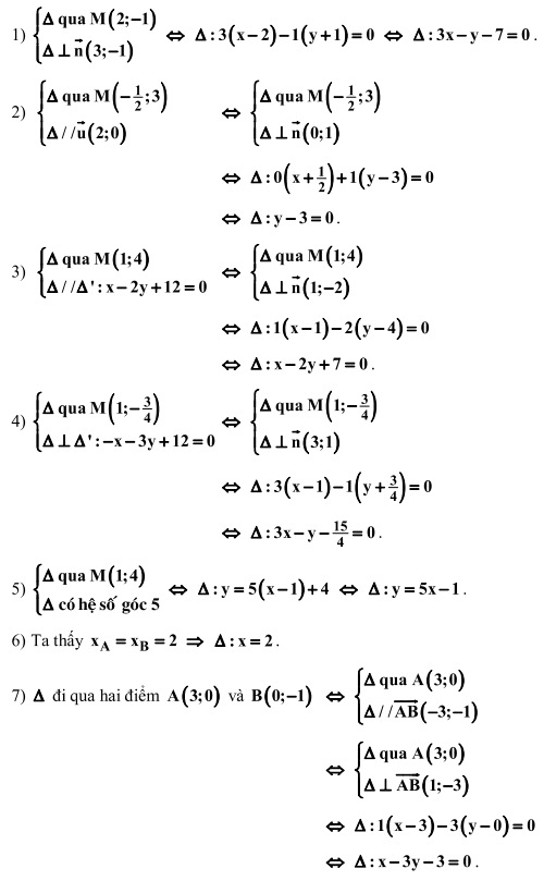
Ví dụ 1. Đưa các phương trình đường thẳng sau đây về dạng tổng quát
-
. -
. -

-
. -
. -

-
. -
. -
. -
. -
. -
.
-
qua
và nhận
làm vectơ pháp tuyến. -
qua
và nhận
làm vectơ chỉ phương. -
qua
và song song với đường thẳng
. -
qua
và vuông góc với đường thẳng
. -
qua
và có hệ số góc bằng
. -
đi qua hai điểm
và
. -
đi qua hai điểm
và
. -
là trung trực của đoạn thẳng với hai đầu mút
và
.



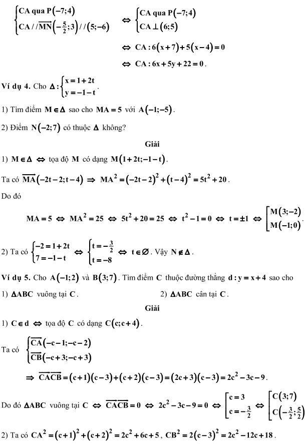
.........................................
Nắm vững các dạng phương trình đường thẳng không chỉ giúp bạn giải quyết các bài toán hình học cơ bản mà còn là bước đệm quan trọng để tiếp cận các kiến thức nâng cao trong toán học như phương trình mặt phẳng và không gian. Việc hiểu rõ các dạng phương trình này giúp bạn dễ dàng nhận diện dạng bài và tìm được hướng giải quyết tối ưu. Hy vọng qua bài viết này, bạn đã có cái nhìn tổng quan về các phương trình đường thẳng và cách vận dụng chúng một cách linh hoạt trong học tập. Đừng quên luyện tập thật nhiều với các bài tập thực tế để nâng cao kỹ năng giải toán của mình.