Nghiệm của phương trình bậc hai
Chuyên đề Toán học lớp 10: Nghiệm của phương trình bậc hai được VnDoc sưu tầm và giới thiệu tới các bạn học sinh cùng quý thầy cô tham khảo. Nội dung tài liệu sẽ giúp các bạn học sinh học tốt môn Toán học lớp 10 hiệu quả hơn. Mời các bạn tham khảo.
Chuyên đề: Nghiệm của phương trình bậc hai
I. Lý thuyết & Phương pháp giải
a. Định lí Vi-ét.
Hai số x1 và x2 là các nghiệm của phương trình bậc hai ax2 + bx + c = 0 khi và chỉ khi chúng thỏa mãn hệ thức x1 + x2 = -b/a và x1.x2 = c/a
b. Ứng dụng.
- Nhẩm nghiệm của phương trình bậc hai.
- Phân tích thành nhân tử: Nếu đa thức f(x) = ax2 + bx + c có hai nghiệm x1 và x2 thì nó có thể phân tích thành nhân tử f(x) = a(x - x1)(x - x2)
- Tìm hai số khi biết tổng và tích của chúng: Nếu hai số có tổng là S và tích là P thì chúng là nghiệm của phương trình x2 - Sx + P = 0.
- Xét dấu của các nghiệm phương trình bậc hai:
- Cho phương trình bậc hai ax2 + bx + c = 0 (*), kí hiệu S = -b/a, P = c/a. khi đó
+ Phương trình (*) có hai nghiệm trái dấu khi và chỉ khi P < 0
+ Phương trình (*) có hai nghiệm dương khi và chỉ khi
+ Phương trình (*) có hai nghiệm âm khi và chỉ khi
II. Ví dụ minh họa
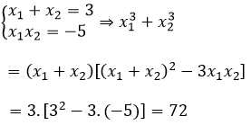
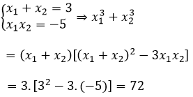
Bài 1: Cho phương trình x2 - 3x - 5 = 0. Khi đó tổng các lập phương hai nghiệm của phương trình bằng bao nhiêu?
Hướng dẫn:
Phương trình x2 - 3x - 5 = 0 (*), có Δ = (-3)2 - 4.(-5) = 29 > 0 → (*) có hai nghiệm phân biệt x1, x2
Theo hệ thức Viet, ta có

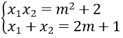
Bài 2: Giả sử phương trình x2 - (2m+1)x + m2 + 2 = 0 (m là tham số) có hai nghiệm là x1, x2. Tính giá trị biểu thức P = 3x1x2 - 5(x1 + x2) theo m
Hướng dẫn:
Theo định lý Viet, ta có
Thay vào P, ta được P = 3(m2 + 2) - 5(2m + 1) = 3m2 - 10m + 1
Bài 3: Giả sử phương trình 2x2 - 4ax - 1 = 0 có hai nghiệm x1, x2. Tính giá trị của biểu thức T = |x1 - x2|
Hướng dẫn:
Vì x1, x2 là hai nghiệm của phương trình 2x2 - 4ax - 1 = 0
Theo hệ thức Viet, ta có x1 + x2 = -(-4a/2) = 2a và x1.x2 = -1/2 (1)
Ta có T = |x1 - x2| ⇔ T2 = (x1 - x2)2 = (x1 + x2)2 - 4x1x2 (2)
Từ (1) và (2) suy ra T2 = (2a)2 -4.(-1/2) = 4a2 + 2 ⇒ T = √(4a2 + 2) > 0
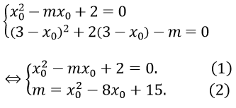
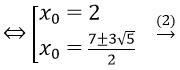
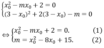
Bài 4: Cho hai phương trình x2 - mx + 2 = 0 và x2 + 2x - m = 0. Có bao nhiêu giá trị của m để một nghiệm của phương trình này và một nghiệm của phương trình kia có tổng là 3?
Hướng dẫn:
Gọi x0 là một nghiệm của phương trình x2 - mx + 2 = 0
Suy ra 3-x0 là một nghiệm của phương trình x2 + 2x - m = 0
Khi đó, ta có hệ

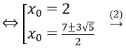
Thay (2) vào (1), ta được x02 - (x02 - 8x0 + 15)x0 + 2 = 0
cho ta 3 giá trị của m cần tìm
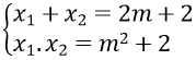
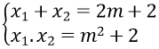
Bài 5: Gọi x1, x2 là hai nghiệm của phương trình x2 - 2(m+1)x + m2 + 2 = 0 (m là tham số). Tìm m để biểu thức P = x1x2 - 2(x1 + x2) - 6 đạt giá trị nhỏ nhất
Hướng dẫn:
Ta có Δ' = (m+1)2 - (m2 + 2) = 2m - 1
Để phương trình có hai nghiệm ⇔ Δ' ≥ 0 ⇔ m ≥ 1/2. (*)
Theo định lý Viet, ta có 
Khi đó 1
Dấu " = " xảy ra khi và chỉ khi m = 2
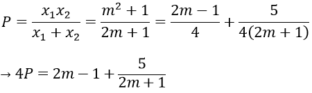
Bài 6: Gọi x1, x2 là hai nghiệm của phương trình x2 - (2m+1)x + m2 + 1 = 0 (m là tham số). Tìm giá trị nguyên của m sao cho biểu thức
có giá trị nguyên
Hướng dẫn:
Ta có Δ = (2m + 1)2 - 4(m2 + 1) = 4m - 3
Để phương trình có hai nghiệm ⇔ Δ ≥ 0 ⇔ m ≥ 3/4
Theo định lý Viet, ta có ![]()
Khi đó

Do m ≥ 3/4 nên 2m + 1 ≥ 5/2
Để P ∈ Z thì ta phải có (2m + 1) là ước của 5 , suy ra 2m + 1 = 5 ⇔ m = 2
Thử lại với m = 2, ta được P = 1 (thỏa mãn)
Với nội dung bài Nghiệm của phương trình bậc hai trên đây chúng tôi xin giới thiệu tới các bạn học sinh cùng quý thầy cô nội dung cần nắm vững khái niệm, định lý Vi-et, phương pháp giải nghiệm của một phương trình bậc hai....
Trên đây VnDoc đã giới thiệu tới các bạn lý thuyết môn Toán học 10: Nghiệm của phương trình bậc hai. Để có kết quả cao hơn trong học tập, VnDoc xin giới thiệu tới các bạn học sinh tài liệu Chuyên đề Toán học 10, Giải bài tập Toán lớp 10, Giải VBT Toán lớp 10 mà VnDoc tổng hợp và giới thiệu tới các bạn đọc