Các dạng phương trình quy về phương trình bậc hai
Chuyên đề Toán học lớp 10: Các dạng phương trình quy về phương trình bậc hai được VnDoc sưu tầm và giới thiệu tới các bạn học sinh cùng quý thầy cô tham khảo. Nội dung tài liệu sẽ giúp các bạn học sinh học tốt môn Toán học lớp 10 hiệu quả hơn. Mời các bạn tham khảo chi tiết bài viết dưới đây.
Chuyên đề: Các dạng phương trình quy về phương trình bậc hai
I. Lý thuyết & Phương pháp giải
Phương trình trùng phương: ax4 + bx2 + c = 0, (a ≠ 0) (*)
- Đặt t = x2 ≥ 0 thì (*) ⇔ at2 + bt + c = 0 (**)
- Để xác định số nghiệm của (*), ta dựa vào số nghiệm của (**) và dấu của chúng, cụ thể:
+ Để (*) vô nghiệm ⇔ 
+ Để (*) có 1 nghiệm
⇔ 
+ Để (*) có 2 nghiệm phân biệt ⇔ 
+ Để (*) có 3 nghiệm ⇔ (**) có 1 nghiệm bằng 0 và nghiệm còn lại dương.
+ Để (*) có 4 nghiệm ⇔ (**) có 2 nghiệm dương phân biệt.
Một số dạng phương trình bậc bốn quy về bậc hai
Loại 1. ax4 + bx3 + cx2 + dx + e = 0 với e/a =(d/b)2 ≠ 0
Phương pháp giải: Chia hai vế cho x2 ≠ 0, rồi đặt t = x + α/x ⇒ t2 = (x + α/x)2 với α = d/b
Loại 2. (x+a)(x+b)(x+c)(x+d) = e với a + c = b + d
Phương pháp giải: [(x+a)(x+c)]⋅[(x+b)(x+d)] = e
⇔ [x2 + (a+c)x + ac]⋅[x2 + (b+d)x + bd] = e và đặt t = x2 + (a+c)x
Loại 3. (x+a)(x+b)(x+c)(x+d) = ex2 với a.b = c.d
Phương pháp giải: Đặt t = x2 + ab + ((a+b+c+d)/2)x thì phương trình
⇔ (t + ((a+b-c-d)/2)x)(t - ((a+b-c-d)/2)x) = ex2 (có dạng đẳng cấp)
Loại 4. (x+a)4 + (x+b)4 = c
Phương pháp giải: Đặt x = t-(a+b)/2 ⇒ (t + α)4 + (t - α)4 = c với α = (a-b)/2
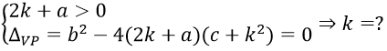
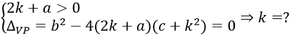
Loại 5. x4 = ax2 + bx + c (1)
Phương pháp giải: Tạo ra dạng A2 = B2 bằng cách thêm hai vế cho một lượng 2k.x2 + k2, tức phương trình (1) tương đương:
(x2)2 + 2kx2 + k2 = (2k+a)x2 + bx + c + k2 ⇔ (x2 + k)2 = (2k + a)x2 + bx + c + k2
Cần vế phải có dạng bình phương
⇒ 
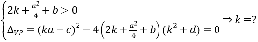
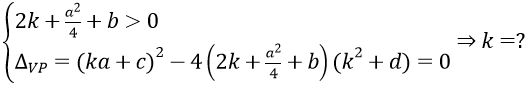
Loại 6. x4 + ax3 = bx2 + cx + d (2)
Phương pháp giải: Tạo A2 = B2 bằng cách thêm ở vế phải 1 biểu thức để tạo ra dạng bình phương: (x2 + (a/2)x + k)2 = x4 + ax3 + (2k + a2/4)x2 + kax + k2. Do đó ta sẽ cộng thêm hai vế của phương trình (2) một lượng: (2k + a2/4)x2 + kax + k2, thì phương trình
(2)⇔ (x2 + (a/2)x + k)2 = (2k + (a2/4) + b)x2 + (ka + c)x + k2 + d
Lúc này cần số k thỏa:

Lưu ý: Với sự hỗ trợ của casio, ta hoàn toàn có thể giải được phương trình bậc bốn bằng phương pháp tách nhân tử. Tức sử dụng chức năng table của casio để tìm nhân tử bậc hai, sau đó lấy bậc bốn chia cho nhân tử bậc hai, thu được bậc hai. Khi đó bậc bốn được viết lại thành tích của 2 bậc hai
Phân tích phương trình bậc ba bằng Sơ đồ Hoocner
Khi gặp bài toán chứa tham số trong phương trình bậc ba, ta thường dùng nguyên tắc nhẩm nghiệm sau đó chia Hoocner.
Nguyên tắc nhẩm nghiệm:
+ Nếu tổng các hệ số bằng 0 thì phương trình sẽ có 1 nghiệm x = 1
+ Nếu tổng các hệ số bậc chẵn bằng tổng các hệ số bậc lẻ thì PT có 1 nghiệm x = -1
+ Nếu phương trình chứa tham số, ta sẽ chọn nghiệm x sao cho triệt tiêu đi tham số m và thử lại tính đúng sai
Chia Hoocner: đầu rơi – nhân tới – cộng chéo
II. Ví dụ minh họa
Bài 1: Giải phương trình 2x4 - 5x3 + 6x2 - 5x + 2 = 0
Hướng dẫn:
Ta thấy x = 0 không phải là nghiệm của phương trình nên chia hai vế phương trình cho x2 ta được: 2(x2 + 1/x2) - 5(x + 1/x) + 6 = 0
Đặt t = x + 1/x, ⇒ x2 + 1/x2 = (x + 1/x)2 - 2 = t2 - 2
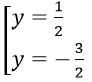
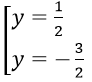
Ta có phương trình: 2(t2 - 2) - 5t + 6 = 0 ⇔ 2t2 - 5t + 2 = 0 ⇔
+ t = 1/2 ⇒ x + 1/x = 1/2 ⇔ 2x2 - x + 2 = 0 (vô nghiệm)
+ t = 2 ⇒ x + 1/x = 2 ⇔ x2 - 2x + 1 = 0 ⇔ x = 1
Vậy phương trình có nghiệm duy nhất x = 1
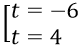
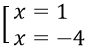
Bài 2: Giải phương trình x(x+1)(x+2)(x+3) = 24
Hướng dẫn:
Phương trình tương đương với (x2 + 3x)(x2 + 3x + 2) = 24
Đặt t = x2 + 3x, phương trình trở thành
t(t+2) = 24 ⇔ t2 + 2t - 24 = 0 ⇔
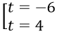
+ t = -6 ⇒ x2 + 3x = -6 ⇔ x2 + 3x + 6 = 0 (Phương trình vô nghiệm)
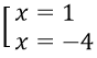
+ t = 4 ⇒ x2 + 3x = 4 ⇔ x2 + 3x - 4 = 0 ⇔
Vậy phương trình có nghiệm là x = -4 và x = 1
Bài 3: Giải phương trình 4(x+5)(x+6)(x+10)(x+12) = 3x2
Hướng dẫn:
Phương trình tương đương với 4(x2 + 17x + 60)(x2 + 16x + 60) = 3x2 (*)
Ta thấy x = 0 không phải là nghiệm của phương trình.
Xét x ≠ 0, chia hai vế cho x2 ta có
(*)⇔ 4(x + 17 + 60/x)(x + 16 + 60/x) = 3
Đặt y = x + 16 + 60/x phương trình trở thành
4(y+1)y = 3 ⇔ 4y2 + 4y - 3 = 0 ⇔
Với y = 1/2 ta có x + 16 + 60/x = 1/2 ⇔ 2x2 + 31x + 120 = 0
⇔
Với y = -3/2 ta có x + 16 + 60/x = -3/2 ⇔ 2x2 + 35x + 120 = 0
⇔
Vậy phương trình có nghiệm là x = -8, x = -15/2 và
Bài 4: Giải phương trình (x+1)4 + (x+3)4 = 2
Hướng dẫn:
Đặt x = t - 2 phương trình trở thành (t-1)4 + (t+1)4 = 2 ⇔ t4 + 6t2 = 0 ⇔ t2(t2 + 6) = 0 ⇔ t = 0
Suy ra x = -2
Vậy phương trình có nghiệm duy nhất x = -2
Bài 5: Giải phương trình![]()
Hướng dẫn:
Điều kiện: x ≠ 2; x ≠ 3
Đặt u = (x+1)/(x-2); v = (x-2)/(x-3) ta được u2 + uv = 12v2
⇔(u - 3v)(u + 4v) = 0 ⇔ u = 3v; u = -4v
+) u = 3v ⇔ (x+1)/(x-2) = 3(x-2)/(x-3) ⇔ x2 + 4x + 3 = 3x2 - 12x + 12
⇔2x2 - 16x + 9 = 0 ⇔ x = (8 ± √46)/2
+) u = -4v ⇔ (x+1)/(x-2) = -4(x-2)/(x-3) ⇔ x2 + 4x + 3 = -4x2 + 16x - 16
⇔ 5x2 - 12x + 19 = 0(Vô nghiệm)
Vậy phương trình đã cho có hai nghiệm là x = (8 ± √46)/2
Với nội dung bài Các dạng phương trình quy về phương trình bậc hai trên đây chúng tôi xin giới thiệu tới các bạn học sinh cùng quý thầy cô nội dung cần nắm vững khái niệm, phương pháp giải các dạng phương trình quy về phương trình bậc hai...
Trên đây VnDoc đã giới thiệu tới các bạn lý thuyết môn Toán học 10: Các dạng phương trình quy về phương trình bậc hai. Chắc hẳn qua bài viết bạn đọc đã nắm được những ý chính cũng như trau dồi được nội dung kiến thức của bài viết rồi đúng không ạ? Hi vọng qua bài viết này bạn đọc có thêm nhiều tài liệu để học tập tốt hơn môn Toán lớp 10 nhé. Để có kết quả cao hơn trong học tập, VnDoc xin giới thiệu tới các bạn học sinh tài liệu Chuyên đề Toán học 10, Giải bài tập Toán lớp 10, Giải VBT Toán lớp 10 mà VnDoc tổng hợp và giới thiệu tới các bạn đọc