Đồ thị hàm số chứa dấu giá trị tuyệt đối và cho bởi nhiều công thức
Chuyên đề Toán học lớp 10: Đồ thị hàm số chứa dấu giá trị tuyệt đối và cho bởi nhiều công thức được VnDoc sưu tầm và giới thiệu tới các bạn học sinh cùng quý thầy cô tham khảo. Nội dung tài liệu sẽ giúp các bạn học sinh học tốt môn Toán học lớp 10 hiệu quả hơn. Mời các bạn tham khảo.
Bài: Đồ thị hàm số chứa dấu giá trị tuyệt đối và cho bởi nhiều công thức
1. Các ví dụ minh họa.
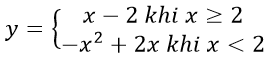
Ví dụ 1: Vẽ đồ thị của hàm số sau:

Hướng dẫn:
Đồ thị hàm số
gồm:
+ Đường thẳng y = x – 2 đi qua A(2; 0),B(0; -2) và lấy phần nằm bên phải của đường thẳng x = 2.
+ Parabol y = -x2 + 2x có đỉnh I(1; 2), trục đối xứng x = 1, đi qua các điểm O(0;0),C(2;0) và lấy phần đồ thị nằm bên trái của đường thẳng x = 2.

Ví dụ 2: Vẽ đồ thị của hàm số sau: y = |x2 - x - 2|
Hướng dẫn:
Vẽ parabol (P) của đồ thị hàm số y = x2 - x - 2 có đỉnh I(1/2; (-5)/4), trục đối xứng x = 1/2, đi qua các điểm A(-1;0),B (2;0),C (0; -2).
Khi đó đồ thị hàm số y = |x2 - x - 2| gồm: phần parabol (P) nằm phía trên trục hoành và phần đối xứng của (P) nằm dưới trục hoành qua trục hoành.

Ví dụ 3: Vẽ đồ thị của hàm số sau
a) y = x2 - 3|x| + 2
b) y = |x2 - 3|x| + 2|
Hướng dẫn:
a) Vẽ đồ thị hàm số (P): y = x2 - 3x + 2 có đỉnh I(3/2; -1/4), trục đối xứng x = 3/2, đi qua các điểm A(1;0),B(2;0),C(0,2). Bề lõm hướng lên trên.
Khi đó đồ thị hàm số y = x2 - 3|x| + 2 là (P1) gồm phần bên phải trục tung của (P) và phần lấy đối xứng của nó qua trục tung.

b) Đồ thị hàm số y = |x2 - 3|x| + 2| là (P2) gồm phần phía trên trục hoành của (P1) và phần đối xứng của (P1) nằm phía dưới trục hoành qua trục hoành.

Với nội dung bài Đồ thị hàm số chứa dấu giá trị tuyệt đối và cho bởi nhiều công thức trên đây chúng tôi xin giới thiệu tới các bạn học sinh cùng quý thầy cô nội dung cần nắm vững phương pháp giải, cách vẽ đồ thị hàm số có chứa dấu giá trị tuyệt đối...
Trên đây VnDoc đã giới thiệu tới các bạn lý thuyết môn Toán học 10: Đồ thị hàm số chứa dấu giá trị tuyệt đối và cho bởi nhiều công thức. Để có kết quả cao hơn trong học tập, VnDoc xin giới thiệu tới các bạn học sinh tài liệu Chuyên đề Toán học 10, Giải bài tập Toán lớp 10, Giải VBT Toán lớp 10 mà VnDoc tổng hợp và giới thiệu tới các bạn đọc