Tích của vectơ với một số
Chuyên đề Toán học lớp 10: Tích của vectơ với một số được VnDoc sưu tầm và giới thiệu tới các bạn học sinh cùng quý thầy cô tham khảo. Nội dung tài liệu sẽ giúp các bạn học sinh học tốt môn Toán học lớp 10 hiệu quả hơn. Mời các bạn tham khảo.
Bài: Tích của vectơ với một số
1. Định nghĩa
Cho số k ≠ 0 và vectơ
Tích của vectơ
với số k là một vectơ, kí hiệu là
, cùng hướng với
nếu k > 0, ngược hướng với
nếu k < 0 và có độ dài bằng |k|.|
|
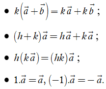
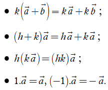
2. Tính chất
Với hai vectơ
bất kì, với mọi số h và k, ta có

3. Trung điểm của đoạn thẳng và trọng tâm của tam giác
a) Nếu I là trung điểm của đoạn thẳng AB thì với mọi điểm M thì ta có

b) Nếu G là trọng tâm của tam giác ABC thì với mọi điểm M thì ta có

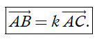
4. Điều kiện để hai vectơ cùng phương
Điều kiện cần và đủ để hai vectơ
cùng phương là có một số k để

Nhận xét. Ba điểm phân biệt A, B, C thẳng hàng khi và chỉ khi có số k khác 0 để

5. Phân tích một vectơ theo hai vectơ không cùng phương
Cho hai vectơ
không cùng phương. Khi đó mọi vectơ
đều phân tích được một cách duy nhất theo hai vectơ
nghĩa là có duy nhất cặp số h, k sao cho ![]()
Với nội dung bài Tích của vectơ chúng tôi xin giới thiệu tới các bạn học sinh cùng quý thầy cô nội dung cần nắm vững khái niệm, tính chất tích của vecto, phân tích một vectơ theo hai vectơ không cùng phương, điều kiện để hai vectơ cùng phương...
Trên đây VnDoc đã giới thiệu tới các bạn lý thuyết môn Toán học 10: Tích của vectơ với một số. Để có kết quả cao hơn trong học tập, VnDoc xin giới thiệu tới các bạn học sinh tài liệu Chuyên đề Toán học 10, Giải bài tập Toán lớp 10, Giải VBT Toán lớp 10 mà VnDoc tổng hợp và giới thiệu tới các bạn đọc