Tìm tập xác định của phương trình
Chuyên đề Toán học lớp 10: Tìm tập xác định của phương trình được VnDoc sưu tầm và giới thiệu tới các bạn học sinh cùng quý thầy cô tham khảo. Nội dung tài liệu sẽ giúp các bạn học sinh học tốt môn Toán học lớp 10 hiệu quả hơn. Mời các bạn tham khảo.
Chuyên đề: Tìm tập xác định của phương trình
I. Lý thuyết & Phương pháp giải
1. Khái niệm phương trình một ẩn
Cho hai hàm số y = f(x) và y = g(x) có tập xác định lần lượt là Df và Dg.
Đặt D = Df ∩ Dg. Mệnh đề chứa biến "f(x) = g(x)" được gọi là phương trình một ẩn, x gọi là ẩn và D gọi tập xác định của phương trình.
Số x0 ∈ D gọi là một nghiệm của phương trình f(x) = g(x) nếu "f(xo) = g(xo)" là một mệnh đề đúng.
2. Phương trình tương đương
Hai phương trình gọi là tương đương nếu chúng có cùng một tập nghiệm. Nếu phương trình f1(x) = g1(x) tương đương với phương trình f2(x) = g2(x) thì viết
f1(x) = g1(x) ⇔ f2(x) = g2(x)
Định lý 1: Cho phương trình f(x) = g(x) có tập xác định D và y = h(x) là một hàm số xác định trên D. Khi đó trên miền D, phương trình đã cho tương đương với mỗi phương trình sau:
(1): f(x) + h(x) = g(x) + h(x)
(2): f(x).h(x) = g(x).h(x) với h(x) ≠ 0, ∀x ∈ D.
3. Phương trình hệ quả
Phương trình f1(x) = g1(x) có tập nghiệm là S1 được gọi là phương trình hệ quả của phương trình f2(x) = g2(x) có tập nghiệm S2 nếu S1 ⊂ S2.
Khi đó viết:
f1(x) = g1(x) ⇒ f2(x) = g2(x)
Định lý 2: Khi bình phương hai vế của một phương trình, ta được phương trình hệ quả của phương trình đã cho: f(x) = g(x) ⇒ [f(x)]2 = [g(x)]2.
Lưu ý:
+ Nếu hai vế của 1 phương trình luôn cùng dấu thì khi bình phương 2 vế của nó, ta được một phương trình tương đương.
+ Nếu phép biến đổi tương đương dẫn đến phương trình hệ quả, ta phải thử lại các nghiệm tìm được vào phương trình đã cho để phát hiện và loại bỏ nghiệm ngoại lai.
4. Phương pháp giải tìm tập xác định của phương trình
- Điều kiện xác định của phương trình bao gồm các điều kiện để giá trị của f(x), g(x) cùng được xác định và các điều kiện khác (nếu có yêu cầu trong đề bài).
- Điều kiện để biểu thức
+ √(f(x)) xác định là f(x) ≥ 0
+ 1/f(x) xác định là f(x) ≠ 0
+ 1/√(f(x)) xác định là f(x) > 0
II. Ví dụ minh họa
Bài 1: Khi giải phương trình √(x2 - 5) = 2 - x (1), một học sinh tiến hành theo các bước sau:
Bước 1: Bình phương hai vế của phương trình (1) ta được:
x2 - 5 = (2 - x)2 (2)
Bước 2: Khai triển và rút gọn (2) ta được 4x = 9
Bước 3: (2) ⇔ x = 9/4
Vậy phương trình có một nghiệm là x = 9/4
Cách giải trên đúng hay sai? Nếu sai thì sai ở bước nào?
Hướng dẫn:
Vì phương trình (2) là phương trình hệ quả nên ta cần thay nghiệm x = 9/4 vào phương trình (1) để thử lại. Nên sai ở bước thứ 3.
Bài 2: Khi giải phương trình
một học sinh tiến hành theo các bước sau:
Bước 1:![]()
Bước 2:![]()
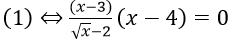
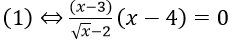
Bước 3: ⇔ x = 3 ∪ x = 4
Bước 4: Vậy phương trình có tập nghiệm là: T = {3; 4}
Cách giải trên sai từ bước nào?
Hướng dẫn:
Vì biến đổi tương đương mà chưa đặt điều kiện nên sai ở bước 2.
Bài 3: Tìm tập xác định của phương trình![]()
Hướng dẫn:
Điều kiện xác định: x2 + 1 ≠ 0 (luôn đúng)
Vậy TXĐ: D = R.
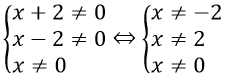
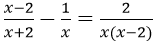
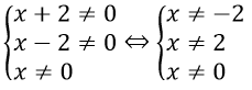
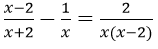
Bài 4: Tìm tập xác định của phương trình![]()
Hướng dẫn:
Điều kiện xác định:
Vậy TXĐ: R\{-2; 0; 2}
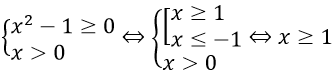
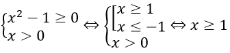
Bài 5: Tìm tập xác định của phương trình![]()
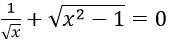
Hướng dẫn:
Điều kiện xác định:

Bài 6: Tìm điều kiện xác định của phương trình
![]()
Hướng dẫn:
Điều kiện xác định: 4 - 5x > 0 ⇔ x < 4/5 (luôn đúng)
Vậy TXĐ: D = (-∞; 4/5)
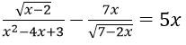
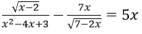
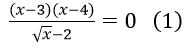
Bài 7: Tìm điều kiện xác định của phương trình
Hướng dẫn:
Điều kiện xác định:

Vậy TXĐ: D = [2; 7/2)\{3}
Với nội dung bài Tìm tập xác định của phương trình trên đây chúng tôi xin giới thiệu tới các bạn học sinh cùng quý thầy cô nội dung cần nắm vững khái niệm về phương trình một ẩn, phương trình tương đương....
Trên đây VnDoc đã giới thiệu tới các bạn lý thuyết môn Toán học 10: Tìm tập xác định của phương trình. Để có kết quả cao hơn trong học tập, VnDoc xin giới thiệu tới các bạn học sinh tài liệu Chuyên đề Toán học 10, Giải bài tập Toán lớp 10, Giải VBT Toán lớp 10 mà VnDoc tổng hợp và giới thiệu tới các bạn đọc