Bất đẳng thức
Chuyên đề Toán học lớp 10: Bất đẳng thức được VnDoc sưu tầm và giới thiệu tới các bạn học sinh cùng quý thầy cô tham khảo. Nội dung tài liệu sẽ giúp các bạn học sinh học tốt môn Toán học lớp 10 hiệu quả hơn. Mời các bạn tham khảo.
Chuyên đề: Bất đẳng thức
I. ÔN TẬP BẤT ĐẲNG THỨC
1. Khái niệm bất đẳng thức
Các mệnh đề dạng “a > b” hoặc “a > b” được gọi là bất đẳng thức.
2. Bất đẳng thức hệ quả và bất đẳng thức tương đương
Nếu mệnh đề “a > b => c > d” đúng thì ta nói bất đẳng thức c > d là bất đẳng thức hệ quả của bất đẳng thức a > b và cũng viết là a > b => c > d.
Nếu bất đẳng thức a > b là hệ quả của bất đẳng thức c > d và ngược lại thì ta nói hai bất đẳng thức tương đương với nhau và viết là a > b <=> c > d.
3. Tính chất của bất đẳng thức
Như vậy để chứng minh bất đẳng thức a > b ta chỉ cần chứng minh a – b > 0. Tổng quát hơn, khi so sánh hai số, hai biểu thức hoặc chứng minh một bất đẳng thức, ta có thể sử dụng các tính chất của bất đẳng thức được tóm tắt trong bảng sau

Chú ý
Ta còn gặp các mệnh đề dạng a ≤ b hoặc a ≥ b. Các mệnh đề dạng này cũng được gọi là bất đẳng thức. Để phân biệt, ta gọi chúng là các bất đẳng thức không ngặt và gọi các bất đẳng thức dạng a < b hoặc a > b là các bất đẳng thức ngặt. Các tính chất nêu trong bảng trên cũng đúng cho bất đẳng thức không ngặt.
II. BẤT ĐẲNG THỨC GIỮA TRUNG BÌNH CỘNG VÀ TRUNG BÌNH NHÂN (BẤT ĐẲNG THỨC CÔ-SI)
1. Bất đẳng thức Cô-si
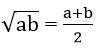
Định lí
Trung bình nhân của hai số không âm nhỏ hơn hoặc bằng trung bình cộng của chúng

Đẳng thức
xảy ra khi và chỉ khi a = b.
2. Các hệ quả
Hệ quả 1
Tổng của một số dương với nghịch đảo của nó lớn hơn hoặc bằng 2.
a +
\(\frac{1}{a}\) ≥ 2, ∀a > 0.
Hệ quả 2
Nếu x, y cùng dương và có tổng không đổi thì tích xy lớn nhất khi và chỉ khi x = y.
Hệ quả 3
Nếu x, y cùng dương và có tích không đổi thì tổng x + y nhỏ nhất khi và chỉ khi x = y.
III. BẤT ĐẲNG THỨC CHỨA DẤU GIÁ TRỊ TUYỆT ĐỐI

Với nội dung bài Bất đẳng thức chúng tôi xin giới thiệu tới các bạn học sinh cùng quý thầy cô nội dung cần nắm vững khái niệm, tính chất của bất đẳng thức, các hệ quả và bất đẳng thức cosi...
Trên đây VnDoc đã giới thiệu tới các bạn lý thuyết môn Toán học 10: Bất đẳng thức. Để có kết quả cao hơn trong học tập, VnDoc xin giới thiệu tới các bạn học sinh tài liệu Chuyên đề Toán học 10, Giải bài tập Toán lớp 10, Giải VBT Toán lớp 10 mà VnDoc tổng hợp và giới thiệu tới các bạn đọc