Phương trình chứa ẩn dưới dấu căn
Chuyên đề Toán học lớp 10: Phương trình chứa ẩn dưới dấu căn được VnDoc sưu tầm và giới thiệu tới các bạn học sinh cùng quý thầy cô tham khảo. Nội dung tài liệu sẽ giúp các bạn học sinh học tốt môn Toán học lớp 10 hiệu quả hơn. Mời các bạn tham khảo.
Chuyên đề: Phương trình chứa ẩn dưới dấu căn
I. Cách phương trình chứa ẩn dưới dấu căn
Để giải phương trình chứa ẩn dưới dấu căn ta tìm cách để khử dấu căn, bằng cách:
– Nâng luỹ thừa hai vế.
– Phân tích thành tích.
– Đặt ẩn phụ.
Các dạng phương trình sau ta có thể giải bằng cách thực hiện phép biến đổi tương đương:

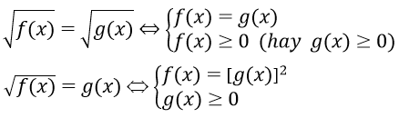
Phương trình có dạng a.f(x) + b.√(f(x) ) + c = 0 ta đặt √(f(x)) = t
Ngoài ra ta còn có phương pháp phân tích thành tích bằng cách nhân liên hợp

Với A, B không đồng thời bằng không
II. Bài tập giải phương trình chứa căn
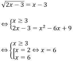
Bài 1: Giải phương trình sau √(2x-3) = x-3
Hướng dẫn:
Ta có

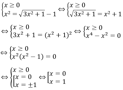
Bài 2: Giải phương trình sau![]()
Hướng dẫn:
Phương trình tương đương với phương trình

Vậy phương trình có nghiệm là x = 0 và x = 1
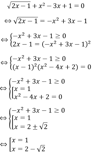
Bài 3: Giải phương trình sau √(2x-1) + x2 - 3x + 1 = 0
Hướng dẫn:
Ta có

Vậy phương trình có nghiệm là x = 1 và x = 2 - √2
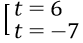
Bài 4: Giải phương trình sau x2 + √(x2 + 11) = 31
Hướng dẫn:
Đặt t = √(x2 + 11), t ≥ 0. Khi đó phương trình đã cho trở thành:
t2 + t - 42 = 0 ⇔ ![]()
Vì t ≥ 0 ⇒ t = 6, thay vào ta có √(x2 + 11) = 6
x2 + 11 = 36 ⇔ x = ±5
Vậy phương trình có nghiệm là x = ±5
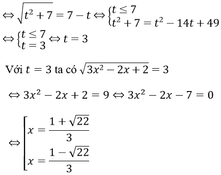
Bài 5: Giải phương trình sau![]()
Hướng dẫn:
Đặt t = √(3x2 - 2x + 2), điều kiện t ≥ 0. Khi đó √(3x2 - 2x + 9) = √(t2 + 7)
Phương trình trở thành √(t2 + 7) + t = 7

Vậy phương trình có hai nghiệm x = (1 ± √22)/3
Bài 6: Giải phương trình sau :
\(\sqrt[3]{x - 9} = (x - 3)^{3} + 6\)
Hướng dẫn giải
Phương trình đã cho tương đương:
\(\sqrt[3]{x - 9} + 3 = (x - 3)^{3} +
9\) (*)
Đặt
\(a = \sqrt[3]{x - 9} + 3 \Rightarrow x
- 9 = (a - 3)^{3}\)
\(\Leftrightarrow\)
\(x = (a - 3)^{3} + 9\)
Phương trình (*) trở thành hệ đối xứng:
\(\left\{ \begin{matrix}
a = (x - 3)^{3} + 9 \\
x = (a - 3)^{3} + 9 \\
\end{matrix} \right.\)
\(\Rightarrow x - a = (a - 3)^{3} - (x -
3)^{3}\)
\(\Leftrightarrow\)
\(x - a = (a - x)\left\lbrack (a - 3)^{2} + (x -
3)^{2} + (a - 3)(x - 3) \right\rbrack\)
\(\Leftrightarrow (a - x)\left\lbrack (a -
3)^{2} + (x - 3)^{2} + (a - 3)(x - 3) + 1 \right\rbrack = 0\)
\(\Leftrightarrow \left\lbrack
\begin{matrix}
a = x \\
(a - 3)^{2} + (x - 3)^{2} + (a - 3)(x - 3) + 1 = 0(2) \\
\end{matrix} \right.\)
Đặt
\(\left\{ \begin{matrix}
u = a - 3 \\
v = x - 3 \\
\end{matrix} \right.\)
Phương trình (2) trở thành:
\(u^{2} + uv +
v^{2} + 1 = 0\) (2’)
Xem đây là phương trình bậc hai theo ẩn u.
\(\Delta = v^{2} - 4(v^{2} + 1) = - 3v^{2}
- 4 < 0,\forall v \in R\).
\(\Rightarrow\) Phương trình (2’) vô nghiệm
\(\Rightarrow\) Phương trình (2) vô nghiệm.
+) Với a = x thế vào (1):
\((x - 3)^{3} - x + 9 = 0\)
\(\Leftrightarrow\)
\(\left\lbrack \begin{matrix}
x = 1 \\
x^{2} - 8x + 18 = 0(Vô\ nghiêm) \\
\end{matrix} \right.\ \Leftrightarrow\)
\(x = 1\)
Vậy phương trình có nghiệm
\(x =
1\).
Bài 7: Giải phương trình sau:
\(4x^{2} +
12x\sqrt{x + 1} = 27(x + 1)\)
Hướng dẫn giải
Điều kiện xác định x
\(\geq\) -1
Phương trình tương đương (
\(2x + 3\sqrt{x
+ 1})^{2} = (6\sqrt{x + 1})^{2}\)
\(\Leftrightarrow \left\lbrack
\begin{matrix}
3\sqrt{x + 1} = 2x \\
9\sqrt{x + 1} = - 2x \\
\end{matrix} \right.\)
Giải được các nghiệm thỏa mãn: x = 3; x =
\(\frac{81 - 9\sqrt{97}}{8}\)
Bài 8: Giải phương trình
\(\sqrt{x + 8 +
2\sqrt{x + 7}} + \sqrt{x + 1 - \sqrt{x + 7}} = 4\)
Hướng dẫn giải
Điều kiên xác định
\(x \geq - 7\) ,đặt
\(t = \sqrt{x + 7}\) ,
\(t \geq 0\)
Phương trình tương đương với
\(\sqrt{(t + 1)^{2}} + \sqrt{t^{2} - t - 6}
= 4\)
\(\Leftrightarrow \sqrt{t^{2} - t - 6} = 3
- t\)
\(\Leftrightarrow \left\{ \begin{matrix}
3 - t \geq 0 \\
t^{2} - t - 6 = (3 - t)^{2} \\
\end{matrix} \right.\)
\(\Leftrightarrow t = 3\) (thỏa mãn)
\(\Rightarrow x = 2\)
Vậy phương trình đã cho có nghiệm x = 2.
Bài 9: Giải phương trình:
\(10\sqrt{x^{3} +
8} = 3\left( x^{2} - x + 6 \right)\)
Hướng dẫn giải
Điều kiện xác định : x ≥ -2
Với x = -2, không thỏa mãn phương trình.
Với x > -2, phương trình tương đương
\(10\sqrt{(x + 2)\left( x^{2} - 2x + 4
\right)} = 3(x + 2) + 3\left( x^{2} - 2x + 4 \right)\)
\(\Leftrightarrow 10\sqrt{\frac{x^{2} - 2x
+ 4}{x + 2}} = 3 + \frac{3\left( x^{2} - 2x + 4 \right)}{x +
2}\)
Đặt
\(u = \sqrt{\frac{x^{2} - 2x + 4}{x +
2}}\)
Phương trình trên trở thành: 3u2 - 10u +3 = 0 ⇔ u = 3 hay u =
\(\frac{1}{3}\)
Với u = 3 ta được :
\(\sqrt{\frac{x^{2} -
2x + 4}{x + 2}} = 3\)
\(\sqrt{\frac{(x^{2} - 2x + 4)}{(x + 2)}}\)
⇔ x2 -11x - 14 = 0
\(\Leftrightarrow
x = \frac{11 \pm \sqrt{177}}{2}\)
Với u =
\(\frac{1}{3}\) ta được :
\(\sqrt{\frac{x^{2} - 2x + 4}{x + 2}} =
\frac{1}{3}\) ⇔ 9x2 - 19x + 34 = 0 (vô nghiệm)
So sánh với điều kiện, ta được nghiệm của phương trình là:
\(x = \frac{11 \pm \sqrt{177}}{2}\)
Vậy phương trình đã cho có hai nghiệm
\(x =
\frac{11 \pm \sqrt{177}}{2}\)
Bài 10: Giải phương trình
\(\frac{2}{\sqrt{x
+ 1} + \sqrt{3 - x}} - \sqrt{3 + 2x - x^{2}} = 1\)
Hướng dẫn giải
Điều kiện xác định:
\(- 1 \leq x \leq
3\)
Đặt
\(t = \sqrt{x + 1} + \sqrt{3 -
x}\)
\(\Rightarrow \sqrt{3 + 2x - x^{2}} =
\frac{t^{2} - 4}{2}\)
Phương trình đã cho trở thành:
\(t^{3} - 2t
- 4 = 0\)
\(\Leftrightarrow t = 2\) (thỏa mãn)
Giải phương trình thu được các nghiệm thỏa mãn:
\(\left\lbrack \begin{matrix}
x = - 1 \\
x = 3 \\
\end{matrix} \right.\)
Vậy phương trình đã cho có hai nghiệm x = -1 và x = 3
---------------------------------------------------------
Với nội dung bài Phương trình chứa ẩn ở dưới dấu căn trên đây chúng tôi xin giới thiệu tới các bạn học sinh cùng quý thầy cô nội dung cần nắm vững khái niệm, phương pháp giải phương trình có chứa ẩn dưới dấu căn...
Trên đây VnDoc đã giới thiệu tới các bạn lý thuyết môn Toán học 10: Phương trình chứa ẩn ở dưới dấu căn. Để có kết quả cao hơn trong học tập, VnDoc xin giới thiệu tới các bạn học sinh tài liệu Chuyên đề Toán học 10, Giải bài tập Toán lớp 10, Giải VBT Toán lớp 10 mà VnDoc tổng hợp và giới thiệu tới các bạn đọc