Xét tính chẵn lẻ của hàm số
Chuyên đề Toán học lớp 10: Xét tính chẵn lẻ của hàm số được VnDoc sưu tầm và giới thiệu tới các bạn học sinh cùng quý thầy cô tham khảo. Nội dung tài liệu sẽ giúp các bạn học sinh học tốt môn Toán học lớp 10 hiệu quả hơn. Mời các bạn tham khảo chi tiết bài viết và tải về tại đây nhé.
Ngoài ra, VnDoc.com đã thành lập group chia sẻ tài liệu học tập THPT miễn phí trên Facebook: Tài liệu học tập lớp 10. Mời các bạn học sinh tham gia nhóm, để có thể nhận được những tài liệu mới nhất.
Chuyên đề: Xét tính chẵn lẻ của hàm số
1. Phương pháp giải.
* Sử dụng định nghĩa
Hàm số y = f(x) xác định trên D
+ Hàm số chẵn 
+ Hàm số lẻ 
Chú ý: Một hàm số có thể không chẵn cũng không lẻ
Đồ thị hàm số chẵn nhận trục Oy làm trục đối xứng
Đồ thị hàm số lẻ nhận gốc tọa độ O làm tâm đối xứng
* Quy trình xét hàm số chẵn, lẻ.
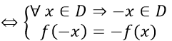
B1: Tìm tập xác định của hàm số.
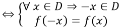
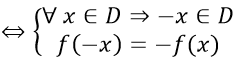
B2: Kiểm tra
Nếu ∀ x ∈ D ⇒ -x ∈ D Chuyển qua bước ba
Nếu ∃ x0 ∈ D ⇒ -x0 ∉ D kết luận hàm không chẵn cũng không lẻ.
B3: xác định f(-x) và so sánh với f(x).
Nếu bằng nhau thì kết luận hàm số là chẵn
Nếu đối nhau thì kết luận hàm số là lẻ
Nếu tồn tại một giá trị ∃ x0 ∈ D mà f(-x0 ) ≠ ± f(x0) kết luận hàm số không chẵn cũng không lẻ.
2. Các ví dụ minh họa.
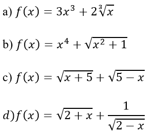
Ví dụ 1: Xét tính chẵn, lẻ của các hàm số sau:

Hướng dẫn:
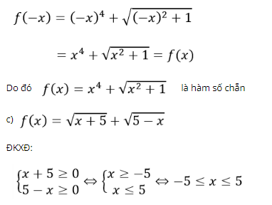
a) f(x) = 3x3 + 2∛x
TXĐ: D = R.
Với mọi x ∈ D, ta có -x ∈ D
f(-x) = 3.(-x)3 + 2∛(-x) = -(3x3 + 2∛x) = -f(x)
Do đó f(x) = 3x3 + 2∛x là hàm số lẻ
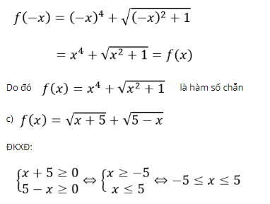
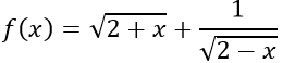
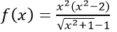
b)![]()
TXĐ: D = R.
Với mọi x ∈ D, ta có -x ∈ D

Suy ra TXĐ: D = [-5;5]
Với mọi x ∈ [-5;5] ta có -x ∈ [-5;5]

Suy ra TXĐ: D = [-2; 2)
Ta có x0 = -2 ∈ D nhưng -x0 = 2 ∉ D
Vậy hàm số
không chẵn và không lẻ.
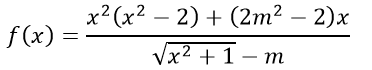
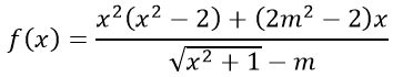
Ví dụ 2: Tìm m để hàm số sau là hàm số chẵn.

Hướng dẫn:

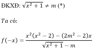
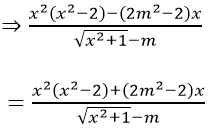
Giả sử hàm số chẵn suy ra f(-x) = f(x) với mọi x thỏa mãn điều kiện (*)

với mọi x thỏa mãn (*)
⇒ 2(2m2 - 2) x = 0 với mọi x thỏa mãn (*)
⇔ 2m2 - 2 = 0 ⇔ m = ± 1
+ Với m = 1 ta có hàm số là![]()
ĐKXĐ : √(x2+1) ≠ 1 ⇔ x ≠ 0
Suy ra TXĐ: D = R\{0}
Dễ thấy với mọi x ∈ R\{0} thì -x ∈ R\{0} và f(-x) = f(x)
Do đó
là hàm số chẵn.
+ Với m = -1 ta có hàm số là![]()
TXĐ: D = R
Dễ thấy với mọi x ∈ R thì -x ∈ R và f(-x) = f(x)
Do đó
là hàm số chẵn.
Vậy m = ± 1 là giá trị cần tìm.
Bài tập vận dụng
Bài 1: Chứng minh rằng với hàm số f(x) bất kỳ, f(x) có thể biểu diễn duy nhất dưới dạng tổng của một hàm số chẵn và một hàm số lẻ.
Bài 2: Cho hàm số y=f(x), y=g(x) có cùng tập xác định D. Chứng minh rằng:
Nếu hai hàm số trên lẻ thì hàm số y=f(x)+g(x) là hàm số lẻ.
Nếu hai hàm số trên một chẵn, một lẻ thì hàm số y=f(x)g(x) là hàm số lẻ.
Bài 3: Cho hàm số f(x) = (m - 2)x2 + (m - 3)x + m2 - 4
a) Tìm m để hàm f(x) là hàm chẵn
b) Tìm m để hàm f(x) là hàm lẻ.
Bài 4: Khảo sát tính chẵn lẻ của các hàm số có trị tuyệt đối sau
a) f(x) = |2x + 1| + |2x - 1|
b) f(x) = (|x + 1| + |x - 1|)/(|x + 1| - |x - 1|)
a) f(x) = |x - 1|2.
Với nội dung bài Xét tính chẵn lẻ của hàm số trên đây chúng tôi xin giới thiệu tới các bạn học sinh cùng quý thầy cô nội dung cần nắm vững phương pháp giải, công thức tính chẵn lẻ của một hàm số....
Trên đây VnDoc đã giới thiệu tới các bạn lý thuyết môn Toán học 10: Xét tính chẵn lẻ của hàm số. Để có kết quả cao hơn trong học tập, VnDoc xin giới thiệu tới các bạn học sinh tài liệu Chuyên đề Toán học 10, Giải bài tập Toán lớp 10, Giải VBT Toán lớp 10 mà VnDoc tổng hợp và giới thiệu tới các bạn đọc.
Mời các bạn cùng tham khảo thêm các tài liệu về hàm số sau đây được VnDoc.com tổng hợp:
- Bài tập Toán lớp 10 chương 2: Hàm số bậc nhất - bậc hai
- Toán 10 Bài 2: Hàm số bậc nhất y = ax + b
- Toán 10 Bài 1: Hàm số
- Toán 10 Bài 3: Giá trị lớn nhất và giá trị nhỏ nhất của hàm số
- Trắc nghiệm ôn tập chương 2: Hàm số bậc nhất, bậc hai môn Toán lớp 10
- Trắc nghiệm hàm số bậc hai môn Toán lớp 10
- Trắc nghiệm hàm số bậc nhất
- Trắc nghiệm hàm số Toán lớp 10