Phương trình chứa ẩn trong dấu giá trị tuyệt đối
Chuyên đề Toán học lớp 10: Phương trình chứa ẩn trong dấu giá trị tuyệt đối được VnDoc sưu tầm và giới thiệu tới các bạn học sinh cùng quý thầy cô tham khảo. Nội dung tài liệu sẽ giúp các bạn học sinh học tốt môn Toán học lớp 10 hiệu quả hơn. Mời các bạn tham khảo!
Chuyên đề: Phương trình chứa ẩn trong dấu giá trị tuyệt đối
I. Cách giải phương trình chứa dấu giá trị tuyệt đối
Để giải phương trình chứa ẩn trong dấu giá trị tuyệt đối (GTTĐ) ta tìm cách để khử dấu giá trị tuyệt đối, bằng cách:
– Dùng định nghĩa hoặc tính chất của GTTĐ.
– Bình phương hai vế.
– Đặt ẩn phụ.
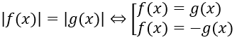
Phương trình dạng |f(x)|=|g(x)| ta có thể giải bằng cách biến đổi tương đương như sau:

hoặc |f(x)| = |g(x)|⇔ f2(x) = g2(x)
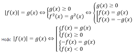
- Đối với phương trình dạng |f(x)| = g(x)(*) ta có thể biến đổi tương đương như sau:

Nếu f(x) = ax2 + bx + c = (Ax ± B)2 tức là có dạng hằng đẳng thức thì: KHAI CĂN.
Phương trình
\(|Ax \pm B| = e
\Leftrightarrow \left\lbrack \begin{matrix}
Ax \pm B = \ \ \ \ \ e \\
Ax \pm B = - e \\
\end{matrix} \right.\) => Tìm x
Ví dụ: Giải các phương trình sau:
\(\sqrt{x^{2} - 4x + 4} = 3\)
Hướng dẫn
Vì x2 – 4x + 4 = (x – 2)2, ta có
PT
\(\sqrt{(x - 2)^{2}} = 3\)
\(|x - 2| = 3 \Leftrightarrow \left\lbrack
\begin{matrix}
x - 2 = \ \ \ \ \ 3 \\
x - 2 = - 3 \\
\end{matrix} \right.\ \Leftrightarrow \left\lbrack \begin{matrix}
x = \ \ \ \ \ 5 \\
x = - 1 \\
\end{matrix} \right.\)
Nếu f(x) = ax2 + bx + c không có dạng hằng đẳng thức thì: BÌNH PHƯƠNG 2 VẾ.
Bước 1: Viết điều kiện f(x) ≥ 0.
Bước 2: Bình phương 2 vế phương trình (để làm mất căn).
Bước 3: Giải phương trình bậc hai có được bằng cách: Phân tích thành nhân tử, đưa về phương trình tích.
Ví dụ : Giải phương trình sau:
\(\sqrt{x^{2} - 4x - 6} = \sqrt{15}\)
Hướng dẫn
Nhận xét: x2 – 4x – 6 không có dạng (Ax ± B)2 nên ta không đưa được về phương trình trị tuyệt đối
Điều kiện: x2 – 4x – 6 ≥ 0
Bình phương hai vế phương trình ta được:
x2 – 4x – 6 = 15 x2 – 4x – 21 = 0 (x – 7) (x + 3) = 0
x = 7 hoặc x = - 3
Thay x tìm được vào điều kiện ta thấy cả x = 7 và x = - 3 đều thỏa mãn
Vậy phương trình có nghiệm x = 7 ; x = - 3
Phương trình có dạng
\(\sqrt{\left\lbrack
f(x) \right\rbrack^{2}} \pm \sqrt{\left\lbrack h(x) \right\rbrack^{2}} =
g(x)\) ta làm như sau
Bước 1: Nếu bản thân f(x) và g(x) có chứa căn bậc hai thì có điều kiện trong căn.
Bước 2: Đưa phương trình về dạng phương trình trị tuyệt đối.
\(\left| f(x) \right| \pm \left| h(x)
\right| = g(x)\)
Bước 3: Xét dấu trị tuyệt đối và giải phương trình.
Ví dụ : Giải phương trình
\(\sqrt{x + 4 -
4\sqrt{x}} - \sqrt{x + 9 - 6\sqrt{x}} = 1\)
Hướng dẫn
Điều kiện: x ≥ 0
Với phương trình này ta dễ dàng nhận thấy:
\(x + 4 - 4\sqrt{x} = \left( \sqrt{x} - 2
\right)^{2}\)
\(x + 9 - 6\sqrt{x} =
\left( \sqrt{x} - 3 \right)^{2}\)
PT
\(\left| \sqrt{x} - 2 \right| - \left|
\sqrt{x} - 3 \right| = 1\)
TH1: Nếu
\(\left\{ \begin{matrix}
\sqrt{x} - 2 \geq 0 \\
\sqrt{x} - 3 \geq 0 \\
\end{matrix} \right.\ \Leftrightarrow \sqrt{x} \geq 3 \Leftrightarrow x
\geq 9\) ta có:
0.
\(\sqrt{x}\) = 0 => Pt có vô số nghiệm x ≥ 0
TH2: Nếu
\(\left\{ \begin{matrix}
\sqrt{x} - 2 \geq 0 \\
\sqrt{x} - 3 < 0 \\
\end{matrix} \right.\ \Leftrightarrow \left\{ \begin{matrix}
x \geq 4 \\
x < 9 \\
\end{matrix} \right.\) ta có
\(\left( \sqrt{x} - 2 \right) - \left( 3 -
\sqrt{x} \right) = 1 \Leftrightarrow 2\sqrt{x} = 6 \Leftrightarrow x =
9\) (Loại)
TH3: Nếu
\(\left\{ \begin{matrix}
\sqrt{x} - 2 < 0 \\
\sqrt{x} - 3 \geq 0 \\
\end{matrix} \right.\ \Leftrightarrow \left\{ \begin{matrix}
x < 4 \\
x \geq 9 \\
\end{matrix} \right.\ \Leftrightarrow x \in \varnothing\)
TH4: Nếu
\(\left\{ \begin{matrix}
\sqrt{x} - 2 < 0 \\
\sqrt{x} - 3 < 0 \\
\end{matrix} \right.\ \Leftrightarrow \sqrt{x} < 2 \Leftrightarrow x
< 4\) ta có
\(\left( 2 - \sqrt{x} \right) - \left( 3 -
\sqrt{x} \right) = 1 \Leftrightarrow 0.\sqrt{x} = 2\)=> Pt có vô nghiệm
Kết luận: Vậy phương trình có vô số nghiệm x ≥ 0
II. Bài tập giải phương trình giá trị tuyệt đối
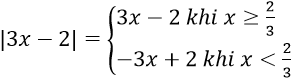
Bài 1: Giải phương trình |3x - 2| = x2 + 2x + 3
Hướng dẫn:
Ta có:
* Nếu x ≥ 2/3 ⇒ PT ⇔ 3x - 2 = x2 + 2x + 3 ⇔ x2 - x + 5 = 0 pt vô nghiệm
* Nếu x < 2/3 ⇒ PT ⇔ -3x + 2 = x2 + 2x + 3 ⇔ x2 + 5x + 1 = 0
⇔ x = (-5 ± √21)/2 hai nghiệm này đều thỏa mãn x < 2/3
Vậy nghiệm của phương trình đã cho là x = (-5 ± √21)/2
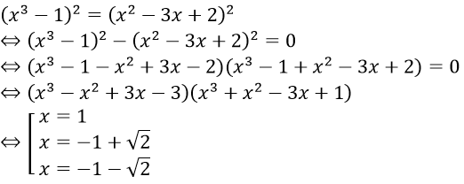
Bài 2: Giải phương trình |x3 - 1| = |x2 - 3x + 2|
Hướng dẫn:
Hai vế không âm bình phương hai vế ta có

Vậy tập nghiệm của phương trình đã cho là S = {1; -1 + √2; -1 - √2}
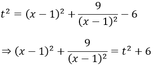
Bài 3: Giải phương trình![]()
Hướng dẫn:
ĐKXĐ: x ≠ 1
Phương trình tương đương
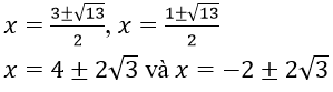
Đặt t = |x - 1 - 3/(x-1)|
Suy ra

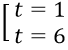
Phương trình trở thành t2 + 6 = 7t ⇔ t2 - 7t + 6 = 0 ⇔ 
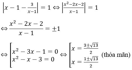
Với t = 1 ta có

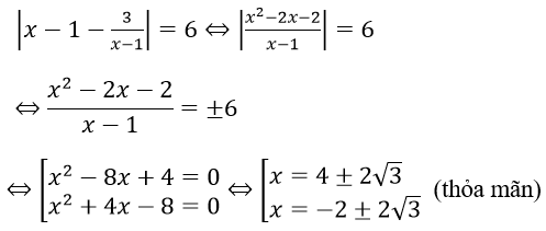
Với t = 6 ta có

Vậy phương trình có nghiệm là

Bài 4: Giải phương trình |2x - 5| + |2x2 - 7x + 5| = 0
Hướng dẫn:
Ta có

Vậy tập nghiệm của phương trình là S = {5/2}
Bài 5: Phương trình (x+1)2 - 3|x+1| + 2 = 0 có bao nhiêu nghiệm?
Hướng dẫn:
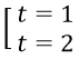
Đặt t = |x + 1|, t ≥ 0
Phương trình trở thành t2 - 3t + 2 = 0 ⇔ 
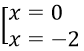
Với t = 1 ta có |x + 1| = 1 ⇔ x + 1 = ±1 ⇔ 
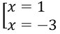
Với t = 2 ta có |x + 1| = 2 ⇔ x + 1 = ±2 ⇔ ![]()
Vậy phương trình có nghiệm là x = -3, x = -2, x = 0 và x = 1
--------------------------------------------------------
Với nội dung bài Phương trình chứa ẩn trong dấu giá trị tuyệt đối trên đây chúng tôi xin giới thiệu tới các bạn học sinh cùng quý thầy cô nội dung cần nắm vững khái niệm, phương pháp giải phương trình có chứa ẩn trong dấu giá trị tuyệt đối....
Trên đây VnDoc đã giới thiệu tới các bạn lý thuyết môn Toán học 10: Phương trình chứa ẩn trong dấu giá trị tuyệt đối. Để có kết quả cao hơn trong học tập, VnDoc xin giới thiệu tới các bạn học sinh tài liệu Chuyên đề Toán học 10, Giải bài tập Toán lớp 10, Giải VBT Toán lớp 10 mà VnDoc tổng hợp và giới thiệu tới các bạn đọc