Đồ thị hàm số chứa dấu giá trị tuyệt đối
Chuyên đề Toán học lớp 10: Đồ thị hàm số chứa dấu giá trị tuyệt đối được VnDoc sưu tầm và giới thiệu tới các bạn học sinh cùng quý thầy cô tham khảo. Nội dung tài liệu sẽ giúp các bạn học sinh học tốt môn Toán học lớp 10 hiệu quả hơn. Mời các bạn tham khảo.
Chuyên đề: Đồ thị hàm số chứa dấu giá trị tuyệt đối
1. Phương pháp giải.
Vẽ đồ thị (C) của hàm số y = | ax + b | ta làm như sau
Cách 1: Vẽ (C1 ) là đường thẳng y = ax + b với phần đồ thị sao cho hoành độ x thỏa mãn x ≥ (-b)/a , Vẽ (C2 ) là đường thẳng y = -ax - b lấy phần đồ thị sao cho x < (-b)/a. Khi đó (C) là hợp của hai đồ thị (C1 ) và (C2 ).
Cách 2: Vẽ đường thẳng y = ax + b và y = -ax - b rồi xóa đi phần đường thẳng nằm dưới trục hoành. Phần đường thẳng nằm trên trục hoành chính là (C).
Chú ý:
+ Biết trước đồ thị (C): y = f(x) khi đó đồ thị (C1 ): y = f(|x|) là gồm phần :
- Giữ nguyên đồ thị (C) ở bên phải trục tung;
- Lấy đối xứng đồ thị (C) ở bên phải trục tung qua trục tung.
+ Biết trước đồ thị (C): y = f(x) khi đó đồ thị (C2 ): y = |f(x)| là gồm phần:
- Giữ nguyên đồ thị (C) ở phía trên trục hoành
- Lấy đối xứng đồ thị (C) ở trên dưới trục hoành và lấy đối xứng qua trục hoành.
2. Các ví dụ minh họa.
Ví dụ 1. Vẽ đồ thị của các hàm số sau:
a)
b) y = |-3x + 3|
Hướng dẫn:
a) Với x ≥ 0 đồ thị hàm số y = 2x là phần đường thẳng đi qua hai điểm A (1; 2) và O(0; 0) nằm bên phải của đường thẳng trục tung.
Với x < 0 đồ thị hàm số y = - x là phần đường thẳng đi qua hai điểm B(-1; 1),
C (-2; 2) nằm bên trái của đường thẳng trục tung.

b) Vẽ hai đường thẳng y = -3x + 3 và y = 3x - 3 và lấy phần đường thẳng nằm trên trục hoành.

Ví dụ 2: Vẽ đồ thị của các hàm số sau:
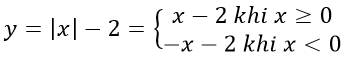
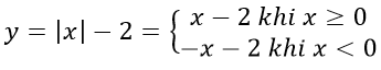
a) y = |x| - 2
b) y = ||x| - 2|
Hướng dẫn:
a) Cách 1: Ta có

Vẽ đường thẳng y = x – 2 đi qua hai điểm A (0; -2), B (2; 0) và lấy phần đường thẳng bên phải của trục tung
Vẽ đường thẳng y = - x – 2 đi qua hai điểm A (0; -2), B (- 2; 0) và lấy phần đường thẳng bên trái của trục tung.
Cách 2: Đường thẳng d: y = x – 2 đi qua A (0; -2), B (2; 0).
Khi đó đồ thị của hàm số y = |x| - 2 là phần đường thẳng d nằm bên phải của trục tung và phần đối xứng của nó qua trục tung

b) Đồ thị y = ||x| - 2| là gồm phần:
- Giữ nguyên đồ thị hàm số y = |x| - 2 ở phía trên trục hoành
- Lấy đối xứng phần đồ thị hàm số y= |x| - 2 ở phía dưới trục hoành.

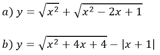
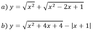
Ví dụ 3: Lập bảng biến thiên của các hàm số sau:

Từ đó tìm giá trị nhỏ nhất và lớn nhất của các hàm số đó trên [-2; 2]
Hướng dẫn:
a) Ta có:

Ta có y(-2) = 5; y(2) = 3
Dựa vào bảng biến thiên ta có:

Bảng biến thiên:

Ta có y(-2) = -1; y(2) = 1
Dựa vào bảng biến thiên ta có:

Với nội dung bài Đồ thị hàm số chứa dấu giá trị tuyệt đối chúng tôi xin giới thiệu tới các bạn học sinh cùng quý thầy cô nội dung cần nắm vững phương pháp giải, cách vẽ đồ thị hàm số có chứa dấu giá trị tuyệt đối....
Trên đây VnDoc đã giới thiệu tới các bạn lý thuyết môn Toán học 10: Đồ thị hàm số chứa dấu giá trị tuyệt đối. Để có kết quả cao hơn trong học tập, VnDoc xin giới thiệu tới các bạn học sinh tài liệu Chuyên đề Toán học 10, Giải bài tập Toán lớp 10, Giải VBT Toán lớp 10 mà VnDoc tổng hợp và giới thiệu tới các bạn đọc