Phương sai và độ lệch chuẩn
Chuyên đề Toán học lớp 10: Phương sai và độ lệch chuẩn được VnDoc sưu tầm và giới thiệu tới các bạn học sinh cùng quý thầy cô tham khảo. Nội dung tài liệu sẽ giúp các bạn học sinh học tốt môn Toán học lớp 10 hiệu quả hơn. Mời các bạn tham khảo.
Chuyên đề: Phương sai và độ lệch chuẩn
1. Phương sai:
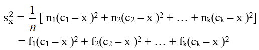
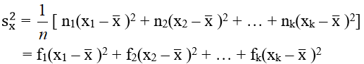
Kí hiệu sx2
Trường hợp bảng phân bố tần số, tần suất

Trường hợp bảng phân bố tần số, tần suất ghép lớp

Trong đó lần lượt là tần số, tần suất, giái trị đại diện của lớp thứ i; n là số các số liệu thống kê; là số trung bình cộng của các số liệu thống kê đã cho
Chú ý:Có thể tính theo công thức sau: ![]()
Trong đó 
(đối với bảng phân bố tần số, tần suất)
hoặc 
(đối với bảng phân bố tần số, tần suất ghép lớp)
Ý nghĩa phương sai
Phương sai được sử dụng để đánh giá mức độ phân tán của các số liệu thống kê (so với số trung bình).
Khi hai dãy số liệu thống kê có cùng đơn vị đo và có số trung bình bằng nhau hoặc xấp xỉ nhau, dãy có phương sai càng nhỏ thì mức độ phân tán (so với số trung bình) của các số liệu thống kê càng bé.
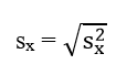
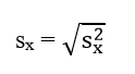
2. Độ lệch chuẩn:
Khi chú ý đơn vị đo ta thấy phương sai sx2 có đơn vị đo là bình phương của đơn vị đo được nghiên cứu ( đơn vị đo nghiên cứu là cm thì sx2 là cm2), để tránh tình trạng này ta dùng căn bậc hai của phương sai gọi là độ lệch chuẩn.
Độ lệch chuẩn, kí hiệu là sx

Ý nghĩa độ lệch chuẩn: Độ lệch chuẩn cũng dùng đánh giá mức độ phân tán của các số liệu thống kê (so với số trung bình). Khi cần chú ý đến đơn vị đo ta dùng độ lệch chuẩn để đánh giá vì độ lệch chuẩn có cùng đơn vị đó với dấu hiệu X được nghiên cứu.
Với nội dung bài Phương sai và độ lệch chuẩn chúng tôi xin giới thiệu tới các bạn học sinh cùng quý thầy cô nội dung cần nắm vững khái niệm, cách tính độ lệch chuẩn, phương sai và ý nghĩa của độ lệch chuẩn...
Trên đây VnDoc đã giới thiệu tới các bạn lý thuyết môn Toán học 10: Phương sai và độ lệch chuẩn. Để có kết quả cao hơn trong học tập, VnDoc xin giới thiệu tới các bạn học sinh tài liệu Chuyên đề Toán học 10, Giải bài tập Toán lớp 10, Giải VBT Toán lớp 10 mà VnDoc tổng hợp và giới thiệu tới các bạn đọc