Xác định hàm số y = ax + b và sự tương giao của đồ thị hàm số
Chuyên đề Toán học lớp 10: Xác định hàm số y = ax + b và sự tương giao của đồ thị hàm số được VnDoc sưu tầm và giới thiệu tới các bạn học sinh cùng quý thầy cô tham khảo. Nội dung tài liệu sẽ giúp các bạn học sinh học tốt môn Toán học lớp 10 hiệu quả hơn. Mời các bạn tham khảo.
Chuyên đề: Xác định hàm số y = ax + b và sự tương giao của đồ thị hàm số
1. Phương pháp giải.
+ Để xác định hàm số bậc nhất ta là như sau:
Gọi hàm số cần tìm là y = ax + b (a ≠ 0). Căn cứ theo giả thiết bài toán để thiết lập và giải hệ phương trình với ẩn a, b từ đó suy ra hàm số cần tìm.
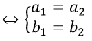
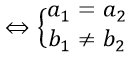
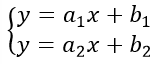
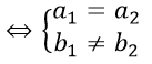
+ Cho hai đường thẳng d1: y = a1x + b1 và d2: y = a2x + b2. Khi đó:
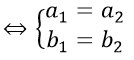
a) d1 và d2 trùng nhau
b) d1 và d2 song song nhau
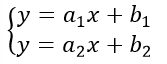
c) d1 và d2 cắt nhau ⇔ a1 ≠ a2. Và tọa độ giao điểm là nghiệm của hệ phương trình:

d) d1 và d2 vuông góc nhau ⇔ a1.a2 = -1
2. Các ví dụ minh họa.
Ví dụ 1. Cho hàm số bậc nhất có đồ thị là đường thẳng d. Tìm hàm số đó biết:
a) d đi qua A(1; 3), B(2; -1).
b) d đi qua C(3; -2) và song song với Δ: 3x - 2y + 1 = 0.
c) d đi qua M (1; 2) và cắt hai tia Ox, Oy tại P, Q sao cho SΔOPQ nhỏ nhất.
d) d đi qua N (2; -1) và d ⊥d' với d': y = 4x + 3.
Hướng dẫn:
Gọi hàm số cần tìm là y = ax + b (a ≠ 0).
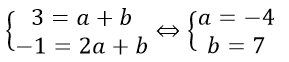
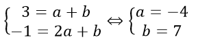
a) Vì A ∈ d; B ∈ d nên ta có hệ phương trình:

Vậy hàm số cần tìm là y = -4x + 7.
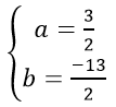
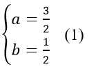
b) Ta có Δ:y = 3x/2 + 1/2. Vì d // Δ nên
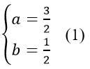
Mặt khác C ∈ d ⇒ -2 = 3a + b (2)
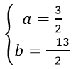
Từ (1) và (2) suy ra
Vậy hàm số cần tìm là y = 3x/2 - 13/2.
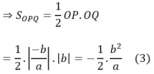
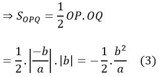
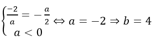
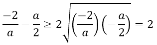
c) Đường thẳng d cắt tia Ox tại P((-b)/a; 0) và cắt tia Oy tại Q(0; b) với b > 0; a < 0.
(Do cắt tia Ox, Oy nên hoành độ và tung độ giao điểm đều dương).

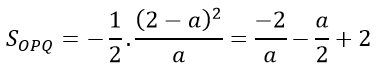
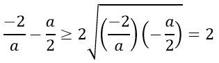
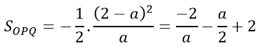
Ta có M ∈ d ⇒ 2 = a + b ⇒ b = 2 - a, thay vào (3) ta được:

Áp dụng bất đẳng thức Cô- si ta có:

⇒ SOPQ ≥ 2 + 2 = 4
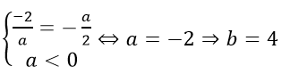
Đẳng thức xảy ra khi và chỉ khi:

Vậy hàm số cần tìm là y = -2x + 4.
d) Đường thẳng d đi qua N(2; -1) nên -1 = 2a + b
Và d ⊥ d' ⇒ 4.a = -1 ⇒ a = (-1)/4
⇒ b = -1 - 2a = (-1)/2
Vậy hàm số cần tìm là y = (-1)x/4 - 1/2.
Ví dụ 2: Cho hai đường thẳng d: y = x + 2m; d': y = 3x + 2 (m là tham số)
a) Chứng minh rằng hai đường thẳng d, d’ cắt nhau và tìm tọa độ giao điểm của chúng
b) Tìm m để ba đường thẳng d, d’ và d’’: y = -mx + 2 phân biệt đồng quy.
Hướng dẫn:
a) Ta có ad = 1 ≠ ad' = 3 suy ra hai đường thẳng d, d’ cắt nhau.
Tọa độ giao điểm của hai đường thẳng d, d’ là nghiệm của hệ phương trình

suy ra d,d’ cắt nhau tại M(m - 1; 3m - 1)
b) Vì ba đường thẳng d, d’, d’’ đồng quy nên M ∈ d" ta có:
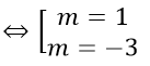
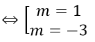
3m - 1 = -m(m - 1) + 2 ⇔ m2 + 2m - 3 = 0
Với m = 1 ta có ba đường thẳng là d: y = x + 2, d': y = 3x + 2; d'': y = -x + 2 phân biệt đồng quy tại M(0; 2).
Với m = -3 ta có d' ≡ d'' suy ra m = -3 không thỏa mãn
Vậy m = 1 là giá trị cần tìm.
Ví dụ 3: Cho đường thẳng d: y = (m - 1)x + m và d': y = (m2 - 1)x + 6
a) Tìm m để hai đường thẳng d, d’ song song với nhau
b) Tìm m để đường thẳng d cắt trục tung tại A, d’ cắt trục hoành tại B sao cho tam giác OAB cân tại O.
Hướng dẫn:
a) Với m = 1 ta có d: y = 1, d': y = 6 do đó hai đường thẳng này song song với nhau
Với m = -1 ta có d: y = -2x - 1, d': y = 6 suy ra hai đường thẳng này cắt nhau tại M((-7)/2; 6).
Với m ≠ ±1 khi đó hai đường thẳng trên là đồ thị của hàm số bậc nhất nên song song với nhau khi và chỉ khi

Đối chiếu với điều kiện m ≠ ±1 suy ra m = 0.
Vậy m = 0 và m = 1 là giá trị cần tìm.
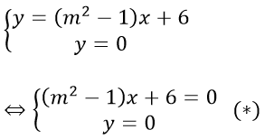
b) Ta có tọa độ điểm A là nghiệm của hệ

Tọa độ điểm B là nghiệm của hệ

Rõ ràng m = ±1 hệ phương trình (*) vô nghiệm
Với m ≠ ±1 ta có (*)

Vậy m = ±2 là giá trị cần tìm.
Với nội dung bài Xác định hàm số y = ax + b và sự tương giao của đồ thị hàm số trên đây chúng tôi xin giới thiệu tới các bạn học sinh cùng quý thầy cô nội dung cần nắm vững phương pháp giải hàm số, cách xác định qua đồ thị hàm số....
Trên đây VnDoc đã giới thiệu tới các bạn lý thuyết môn Toán học 10: Xác định hàm số y = ax + b và sự tương giao của đồ thị hàm số. Để có kết quả cao hơn trong học tập, VnDoc xin giới thiệu tới các bạn học sinh tài liệu Chuyên đề Toán học 10, Giải bài tập Toán lớp 10, Giải VBT Toán lớp 10 mà VnDoc tổng hợp và giới thiệu tới các bạn đọc