Ứng dụng của hàm số bậc nhất trong chứng minh bất đẳng thức và tìm giá trị nhỏ nhất, lớn nhất
Chuyên đề Toán học lớp 10: Ứng dụng của hàm số bậc nhất trong chứng minh bất đẳng thức và tìm giá trị nhỏ nhất, lớn nhất được VnDoc sưu tầm và giới thiệu tới các bạn học sinh cùng quý thầy cô tham khảo. Nội dung tài liệu sẽ giúp các bạn học sinh học tốt môn Toán học lớp 10 hiệu quả hơn. Mời các bạn tham khảo.
Chuyên đề: Ứng dụng của hàm số bậc nhất trong chứng minh bất đẳng thức và tìm giá trị nhỏ nhất, lớn nhất
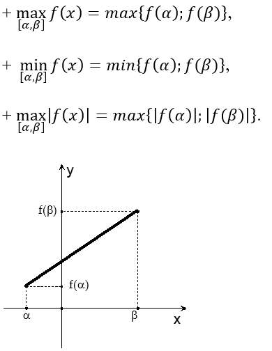
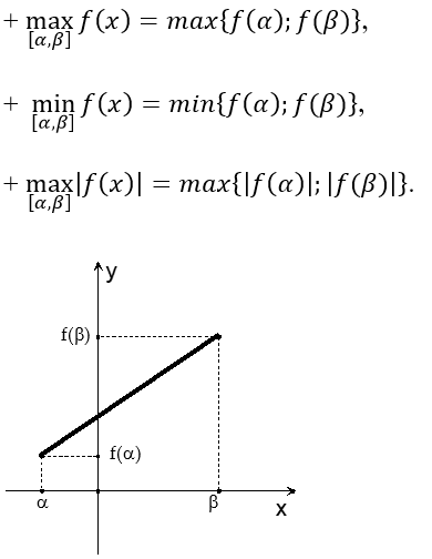
1. Phương pháp giải.
Cho hàm số f(x) = ax + b và đoạn [α; β] ⊂ R.Khi đó, đồ thị của hàm số y = f(x) trên [α; β] là một đoạn thẳng nên ta có một số tính chất:

Áp dụng các tính chất đơn giản này cho chúng ta cách giải nhiều bài toán một cách thú vị, ngắn gọn, hiệu quả.
2. Các ví dụ minh họa.
Ví dụ 1: Cho hàm số f(x) = |2x - m|. Tìm m để giá trị lớn nhất của f(x) trên [1; 2] đạt giá trị nhỏ nhất.
Hướng dẫn:
Dựa vào các nhận xét trên ta thấy
chỉ có thể đạt được tại x = 1 hoặc x = 2.
Như vậy nếu đặt

Vậy giá trị nhỏ nhất của M là 1, đạt được chỉ khi m = 3.
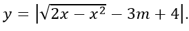
Ví dụ 2: Cho hàm số
Tìm m để giá trị lớn nhất của hàm số y là nhỏ nhất.
Hướng dẫn:
Gọi A = maxy. Ta đặt

Vậy giá trị cần tìm là m = 3/2.
Với nội dung bài Ứng dụng của hàm số bậc nhất trong chứng minh bất đẳng thức và tìm giá trị lớn nhất, nhỏ nhất trên đây chúng tôi xin giới thiệu tới các bạn học sinh cùng quý thầy cô nội dung cần nắm vững phương pháp giải, các ứng dụng của hàm số bậc nhất...
Trên đây VnDoc đã giới thiệu tới các bạn lý thuyết môn Toán học 10: Ứng dụng của hàm số bậc nhất trong chứng minh bất đẳng thức và tìm giá trị nhỏ nhất, lớn nhất. Để có kết quả cao hơn trong học tập, VnDoc xin giới thiệu tới các bạn học sinh tài liệu Chuyên đề Toán học 10, Giải bài tập Toán lớp 10, Giải VBT Toán lớp 10 mà VnDoc tổng hợp và giới thiệu tới các bạn đọc