Xác định hàm số bậc hai
Chuyên đề Toán học lớp 10: Xác định hàm số bậc hai được VnDoc sưu tầm và giới thiệu tới các bạn học sinh cùng quý thầy cô tham khảo. Nội dung tài liệu sẽ giúp các bạn học sinh học tốt môn Toán học lớp 10 hiệu quả hơn. Mời các bạn tham khảo.
Chuyên đề: Xác định hàm số bậc hai
1. Phương pháp giải.
Để xác định hàm số bậc hai ta là như sau
Gọi hàm số cần tìm là y = ax2 + bx + c, a ≠ 0. Căn cứ theo giả thiết bài toán để thiết lập và giải hệ phương trình với ẩn a, b, c từ đó suy ra hàm số cần tìm.
2. Các ví dụ minh họa.
Ví dụ 1. Xác định parabol (P) : y = ax2 + bx + c, a ≠ 0, biết:
a) (P) đi qua A (2; 3) và có đỉnh I (1; 2)
b) c = 2 và (P) đi qua B (3; -4) và có trục đối xứng là x = (-3)/2.
c) Hàm số y = ax2 + bx + c có giá trị nhỏ nhất bằng 3/4 khi x = 1/2 và nhận giá trị bằng 1 khi x = 1.
d) (P) đi qua M (4; 3) cắt Ox tại N (3; 0) và P sao cho ΔINP có diện tích bằng 1 biết hoành độ điểm P nhỏ hơn 3. (I là đỉnh của (P)).
Hướng dẫn:
a) Vì A ∈ (P) nên 3 = 4a + 2b + c
Mặt khác (P) có đỉnh I(1;2) nên:
(-b)/(2a) = 1 ⇔ 2a + b = 0
Lại có I ∈ (P) suy ra a + b + c = 2
Ta có hệ phương trình:

Vậy (P) cần tìm là y = x2 - 2x + 3.
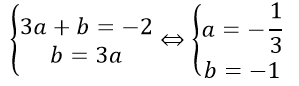
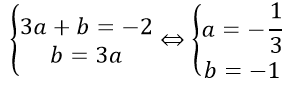
b) Ta có c = 2 và (P) đi qua B(3; -4) nên -4 = 9a + 3b + 2 ⇔ 3a + b = -2
(P) có trục đối xứng là x = (-3)/2 nên (-b)/(2a) = -3/2 ⇔ b = 3a
Ta có hệ phương trình:

Vậy (P) cần tìm là y = (-1)x2/3 - x + 2.
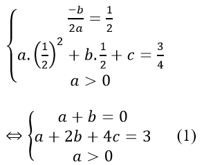
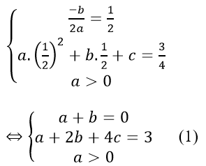
c) Hàm số y = ax2 + bx + c có giá trị nhỏ nhất bằng 3/4 khi x = 1/2 nên ta có:

Hàm số y = ax2 + bx + c nhận giá trị bằng 1 khi x = 1 nên a + b + c = 1 (2)
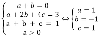
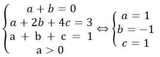
Từ (1) và (2) ta có hệ phương trình:

Vậy (P) cần tìm là y = x2 - x + 1.
d) Vì (P) đi qua M (4; 3) nên 3 = 16a + 4b + c (1)
Mặt khác (P) cắt Ox tại N (3; 0) suy ra 0 = 9a + 3b + c (2)
Từ (1) và (2) ta có: 7a + b = 3 ⇒ b = 3 - 7a
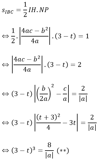
(P) cắt Ox tại P nên P (t; 0) (t < 3) ⇒ NP = 3 - t
Theo định lý Viét ta có

Ta có:

Thay (*) vào (**) ta được:
(3 - t)3 = 8(4-t)/3 ⇔ 3t3 - 27t2 + 73t - 49 = 0 ⇔ t = 1
Suy ra a = 1; b = - 4; c = 3.
Vậy (P) cần tìm là y = x2 - 4x + 3.
Với nội dung bài Xác định hàm số bậc hai trên đây chúng tôi xin giới thiệu tới các bạn học sinh cùng quý thầy cô nội dung cần nắm vững phương pháp giải, cách xác định một hàm số bậc hai...
Trên đây VnDoc đã giới thiệu tới các bạn lý thuyết môn Toán học 10: Xác định hàm số bậc hai. Để có kết quả cao hơn trong học tập, VnDoc xin giới thiệu tới các bạn học sinh tài liệu Chuyên đề Toán học 10, Giải bài tập Toán lớp 10, Giải VBT Toán lớp 10 mà VnDoc tổng hợp và giới thiệu tới các bạn đọc