Phương trình và hệ phương trình bậc nhất nhiều ẩn
Chuyên đề Toán học lớp 10: Phương trình và hệ phương trình bậc nhất nhiều ẩn được VnDoc sưu tầm và giới thiệu tới các bạn học sinh cùng quý thầy cô tham khảo. Nội dung tài liệu sẽ giúp các bạn học sinh học tốt môn Toán học lớp 10 hiệu quả hơn. Mời các bạn tham khảo.
Chuyên đề: Phương trình và hệ phương trình bậc nhất nhiều ẩn
I. ÔN TẬP VỀ PHƯƠNG TRÌNH VÀ HỆ HAI PHƯƠNG TRÌNH BẬC NHẤT HAI ẨN
1. Phương trình bậc nhất hai ẩn
Phương trình bậc nhất hai ẩn x , y có dạng tổng quát là
ax + by = c (1)
trong đó a, b, c là các hệ số, với điều kiện a và b không đồng thời bằng 0.
CHÚ Ý
a) Khi a = b = 0 ta có phương trình 0x + 0y = c. Nếu c ≠ 0 thì phương trình này vô nghiệm, còn nếu c = 0 thì mọi cặp số (xo; yo) đều là nghiệm.
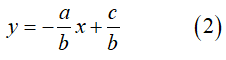
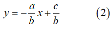
b) Khi b ≠ 0, phương trình ax + by = c trở thành

Cặp số (xo; yo) là một nghiệm của phương trình (1) khi và chỉ khi điểm M(xo; yo) thuộc đường thẳng (2).
Tổng quát, người ta chứng minh được rằng phương trình bậc nhất hai ẩn luôn luôn có vô số nghiệm. Biểu diễn hình học tập nghiệm của phương trình của phương trình (1) là một đường thẳng trong mặt phẳng tọa độ Oxy.
2. Hệ hai phương trình bậc nhất hai ẩn
Hệ phương trình bậc nhất hai ẩn có dạng tổng quát là

Trong đó x, y là hai ẩn; các chữ số còn lại là hệ số.
Nếu cặp số (x0; y0) đồng thời là nghiệm của cả hai phương trình của hệ thì (x0; y0) được gọi là một nghiệm của hệ phương trình (3).
Giải hệ phương trình (3) là tìm tập nghiệm của nó.
II. HỆ BA PHƯƠNG TRÌNH BẬC NHẤT BA ẨN
Phương trình bậc nhất ba ẩn có dạng tổng quát là
ax + by + cz = d,
trong đó x, y, z là ba ẩn a, b, c, d là các hệ số và a, b, c không đồng thời bằng 0.
Hệ phương trình bậc nhất ba ẩn có dạng tổng quát là

Trong đó x, y, z là ba ẩn; các chữ còn lại là các hệ số.
Mỗi bộ ba số (xo; yo; zo) nghiệm đúng ba phương trình của hệ được gọi là một nghiệm của hệ phương trình (4).
Với nội dung bài Phương trình và hệ phương trình bậc nhất nhiều ẩn chúng tôi xin giới thiệu tới các bạn học sinh cùng quý thầy cô nội dung cần nắm vững khái niệm, cách giải phương trình và hệ phương trình nhiều ẩn....
Trên đây VnDoc đã giới thiệu tới các bạn lý thuyết môn Toán học 10: Phương trình và hệ phương trình bậc nhất nhiều ẩn. Để có kết quả cao hơn trong học tập, VnDoc xin giới thiệu tới các bạn học sinh tài liệu Chuyên đề Toán học 10, Giải bài tập Toán lớp 10, Giải VBT Toán lớp 10 mà VnDoc tổng hợp và giới thiệu tới các bạn đọc