Xét tính đơn điệu (đồng biến, nghịch biến) của hàm số
Chuyên đề Toán học lớp 10: Xét tính đơn điệu (đồng biến, nghịch biến) của hàm số được VnDoc sưu tầm và giới thiệu tới các bạn học sinh cùng quý thầy cô tham khảo. Nội dung tài liệu sẽ giúp các bạn học sinh học tốt môn Toán học lớp 10 hiệu quả hơn. Mời các bạn tham khảo.
Chuyên đề: Xét tính đơn điệu (đồng biến, nghịch biến) của hàm số
1. Phương pháp giải.
C1: Cho hàm số y = f(x) xác định trên K. Lấy x1; x2 ∈ K;x1 < x2, đặt T = f(x1 )-f(x2 )
+ Hàm số đồng biến trên K ⇔ T > 0.
+ Hàm số nghịch biến trên K ⇔ T < 0.
C2: Cho hàm số y = f(x) xác định trên K. Lấy x1; x2 ∈ K;x1 ≠ x2, đặt 
+ Hàm số đồng biến trên K ⇔ T > 0.
+ Hàm số nghịch biến trên K ⇔ T < 0.
2. Các ví dụ minh họa.
Ví dụ 1: Xét sự biến thiên của hàm số sau trên khoảng (1; + ∞)
a) y = 3/(x-1)
b) y = x + 1/x
Hướng dẫn:
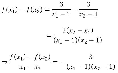
a) Với mọi x1; x2 ∈ (1; + ∞); x1 ≠ x2 ta có:

Vì x1 > 1; x2 > 1 nên

Do đó hàm số y = 3/(x-1) nghịch biến trên khoảng (1; + ∞).
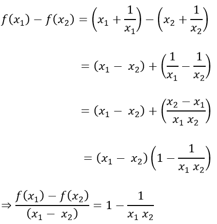
b) Với mọi x1; x2 ∈ (1; + ∞); x1 ≠ x2 ta có:

Vì x1 > 1; x2 > 1
nên hàm số y = x + 1/x đồng biến trên khoảng (1; + ∞).
Ví dụ 2: Cho hàm số y = f(x) = x2 - 4
a) Xét chiều biến thiên cuả hàm số trên (- ∞;0) và trên (0;+ ∞)
b) Lập bảng biến thiên của hàm số trên [-1;3] từ đó xác định giá trị lớn nhất, nhỏ nhất của hàm số trên[-1;3].
Hướng dẫn:
TXĐ: D = R.
a) ∀ x1; x2 ∈ R; x1 < x2 ⇒ x2 - x1 > 0
Ta có T = f(x2 ) - f(x1 )=(x22 - 4) - (x12 - 4) = (x2 - x1 )(x2 + x1 )
Nếu x1; x2 ∈ (- ∞;0) thì T < 0. Vậy hàm số y=f(x) nghịch biến trên (- ∞;0).
Nếu x1; x2 ∈ (0; + ∞) thì T > 0. Vậy hàm số y = f(x) đồng biến trên (0; + ∞).
b) Bảng biến thiên của hàm số y = f(x) = x2 - 4 trên [-1; 3]

Dựa vào bảng biến thiên ta có:
Giá trị lớn nhất của hàm số trên [-1; 3] là 5, đạt được khi x = 3.
Giá trị nhỏ nhất của hàm số trên [-1; 3] là – 4, đạt được khi x = 0.
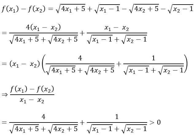
Ví dụ 3: Xét sự biến thiên của hàm số
trên tập xác định của nó.
Áp dụng tìm số nghiệm của các phương trình sau:

Hướng dẫn:
ĐKXĐ:
Suy ra TXĐ: D = [1; + ∞)
Với mọi x1; x2 ∈ [1; + ∞), x1 ≠ x2, ta có:

Nên hàm số
đồng biến trên khoảng [1; + ∞).
a) Vì hàm số đã cho đồng biến trên [1; + ∞) nên
Nếu x > 1 ⇒ f(x) > f(1) hay![]()
Suy ra phương trình
không có nghiệm x > 1.
Với x = 1 dễ thấy nó là nghiệm của phương trình đã cho
Vậy phương trình có nghiệm duy nhất x = 1.
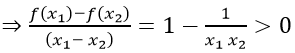
b)![]()
ĐKXĐ: x ≥ 1
Đặt x2 + 1 = t, t ≥ 1 ⇒ x2 = t - 1
Do x ≥ 1 nên x = √(t-1). Khi đó phương trình trở thành:
⇔ f(x)=f(t)
Nếu x > t ⇒ f(x) > f(t) hay
![]()
Suy ra phương trình đã cho không có nghiệm thỏa mãn x > t.
Nếu x < t ⇒ f(x)< f(t) hay
![]()
Suy ra phương trình đã cho không có nghiệm thỏa mãn x < t.
Vậy f(x) = f(t) ⇔ x = t hay x2 + 1 = x ⇔ x2 - x + 1 = 0 (vô nghiệm)
Vậy phương trình đã cho vô nghiệm.
Nhận xét:
Hàm số y = f(x) đồng biến (hoặc nghịch biến) trên toàn bộ tập xác định thì phương trình f(x)=0 có tối đa một nghiệm.
Nếu hàm số y = f(x) đồng biến (nghịch biến) trên D thì f(x) > f(y) ⇔ x > y (x < y) và f(x) = f(y) ⇔ x = y ∀ x,y ∈ D. Tính chất này được sử dụng nhiều trong các bài toán đại số như giải phương trình , bất phương trình , hệ phương trình và các bài toán cực trị.
Với nội dung bài Xét tính đơn điệu (đồng biến, nghịch biến) của hàm số trên đây chúng tôi xin giới thiệu tới các bạn học sinh cùng quý thầy cô nội dung cần nắm vững phương pháp giải, cách tính đồng biến hay nghịch biến của một hàm số....
Trên đây VnDoc đã giới thiệu tới các bạn lý thuyết môn Toán học 10: Xét tính đơn điệu (đồng biến, nghịch biến) của hàm số. Để có kết quả cao hơn trong học tập, VnDoc xin giới thiệu tới các bạn học sinh tài liệu Chuyên đề Toán học 10, Giải bài tập Toán lớp 10, Giải VBT Toán lớp 10 mà VnDoc tổng hợp và giới thiệu tới các bạn đọc