Giải phương trình bằng phương pháp biến đổi tương đương
Chuyên đề Toán học lớp 10: Giải phương trình bằng phương pháp biến đổi tương đương được VnDoc sưu tầm và giới thiệu tới các bạn học sinh cùng quý thầy cô tham khảo. Nội dung tài liệu sẽ giúp các bạn học sinh học tốt môn Toán học lớp 10 hiệu quả hơn. Mời các bạn cùng theo dõi chi tiết bài viết dưới đây nhé.
Chuyên đề: Giải phương trình bằng phương pháp biến đổi tương đương
I. Cách giải phương trình tương đương
- Phương trình tương đương: Hai phương trình f1(x) = g1(x) và f2(x) = g2(x) được gọi là tương đương nếu chúng có cùng tập nghiệm
- Kí hiệu là f1(x) = g1(x) ⇔ f2(x) = g2(x)
- Phép biến đổi không làm thay đổi tập nghiệm của phương trình gọi là phép biến đổi tương đương.
- Phương trình hệ quả: f2(x) = g2(x) gọi là phương trình hệ quả của phương trình f1(x) = g1(x) nếu tập nghiệm của nó chứa tập nghiệm của phương trình f1(x) = g1(x)
- Kí hiệu là f1(x) = g1(x) ⇒ f2(x) = g2(x)
- Để giải phương trình ta thực hiện các phép biến đổi để đưa về phương trình tương đương với phương trình đã cho đơn giản hơn trong việc giải nó. Một số phép biến đổi thường sử dụng:
+ Cộng (trừ) cả hai vế của phương trình mà không làm thay đổi điều kiện xác định của phương trình ta thu được phương trình tương đương phương trình đã cho.
+ Nhân (chia) vào hai vế với một biểu thức khác không và không làm thay đổi điều kiện xác định của phương trình ta thu được phương trình tương đương với phương trình đã cho.
+ Bình phương hai vế của phương trình ta thu được phương trình hệ quả của phương trình đã cho.
Bình phương hai vế của phương trình (hai vế luôn cùng dấu) ta thu được phương trình tương đương với phương trình đã cho.
II. Bài tập giải phương trình bằng phương pháp biến đổi tương đương
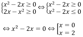
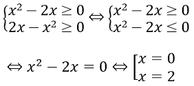
Bài 1: Giải phương trình![]()
Hướng dẫn:
Điều kiện:

Thử lại ta thấy cả x = 0 và x = 2 đều thỏa mãn phương trình
Vậy tập nghiệm của phương trình là S = {0;2}
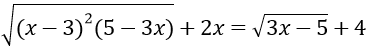
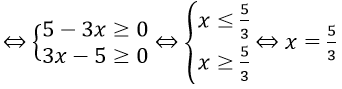
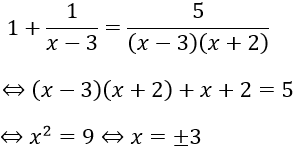
Bài 2: Giải phương trình
Hướng dẫn:
Điều kiện:
Ta thấy x = 3 thỏa mãn điều kiện (*)
Nếu x ≠ 3. thì (*)

Do đó điều kiện xác định của phương trình là x = 3 hoặc x = 5/3
Thay x = 3 và x = 5/3 vào phương trình thấy chỉ có x = 3 thỏa mãn
Vậy phương trình đã cho có nghiệm duy nhất S = {3}
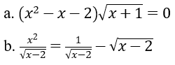
Bài 3: Giải phương trình

Hướng dẫn:
a. Điều kiện: x ≥ -1.
Ta có x = -1 là một nghiệm.
Nếu x > -1 thì √(x+1) > 0. Do đó phương trình tương đương
x2 - x - 2 = 0 ⇔ x = -1 hoặc x = 2.
Đối chiếu điều kiện ta được nghiệm của phương trình là x = -1, x = 2.
Vậy phương trình đã cho có hai nghiệm S = {-1; 2}
b. ĐKXĐ: x > 2
Với điều kiện để phương trình tương đương với phương trình
x2 = 1 - (x - 2)⇔ x2 + x - 3 = 0

Đối chiếu với điều kiện ta thấy không có giá trị nào thỏa mãn
Vậy phương trình vô nghiệm
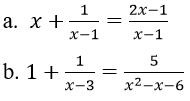
Bài 4: Giải phương trình

Hướng dẫn:
a. Điều kiện: x ≠ 1.
Với điều kiện trên phương trình tương đương x2 - x + 1 = 2x - 1 ⇔ x = 1 hoặc x = 2
Đối chiếu điều kiện ta được phương trình có nghiệm duy nhất x = 2.
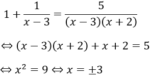
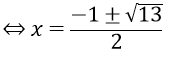
b. ĐKXĐ : 
Với điều kiện trên phương trình tương đương với

Đối chiếu với điều kiện ta có nghiệm của phương trình là x = -3
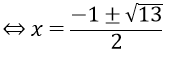
Bài 5: Tìm m để cặp phương trình sau tương đương
x2 + mx - 1 = 0 (1) và (m-1)x2 + 2(m-2)x + m - 3 = 0 (2)
Hướng dẫn:
Giả sử hai phương trình (1) và (2) tương đương
Ta có (m-1)x2 + 2(m-2)x + m - 3 = 0
⇔ ![]()
Do hai phương trình tương đương nên x = -1 cũng là nghiệm của phương trình (1)
Thay x = -1 vào phương trình (1) ta được m = 0
Với m = 0 thay vào hai phương trình ta thấy không tương đương.
Vậy không có giá trị nào của m thỏa mãn.
III. Bài tập giải phương trình nâng cao
Bài toán 1: Giải phương trình
\(\sqrt{x -
2} + \sqrt{10 - x} = x^{2} - 12x + 40\)
Bổ đề: Với
\(a \geq 0;b \geq 0\)
\(a + b = \sqrt{(a + b)^{2}} \leq \sqrt{(a +
b)^{2} + (a - b)^{2}}\)
\(\Rightarrow a + b \leq \sqrt{2\left( a^{2} + b^{2}
\right)}\)
Hướng dẫn giải
Điều kiện xác định:
\(2 \leq x \leq
10\)
Ta có:
\(\sqrt{x - 2} + \sqrt{10 -
x} \leq \sqrt{2(x - 2 + 10 - x)} = 4\)
Mà
\(x^{2} - 12x + 40 = \left( x^{2} - 12x
+ 36 \right) + 4 = (x - 6)^{2} + 4 \geq 4\).
Dấu bằng xảy ra khi và chỉ khi
\(\left\{
\begin{matrix}
x - 2 = 10 - x \\
x - 6 = 0 \\
\end{matrix} \right.\ \Leftrightarrow x = 6\).
Vậy phương trình có nghiệm x = 6
Hoặc: Áp dung bất đẳng thức Cô si cho hai số không âm ta có
\(\sqrt{x - 2} + \sqrt{10 - x}\)
\(= \frac{\sqrt{(x -
2).4}}{2} + \frac{\sqrt{(10 - x).4}}{2}\)
\(\leq \frac{x - 2 + 4}{4} +
\frac{10 - x + 4}{4} = 4\).
Dấu bằng xảy ra khi và chỉ khi
\(\left\{
\begin{matrix}
x - 2 = 4 \\
10 - x = 4 \\
\end{matrix} \right.\ \Leftrightarrow x = 6\).
Bài toán 2: Giải phương trình:
\(\sqrt{x^{2} + x - 1} + \sqrt{x - x^{2} + 1} =
x^{2} - x + 2\)
Hướng dẫn giải
Vì
\(x^{2} + x - 1 \geq 0\) và
\(x - x^{2} + 1 \geq 0\)
Áp dụng bất đẳng thức Cô si mỗi số hạng của vế trái ta được:
\(\sqrt{\left( x^{2} + x - 1 \right).1} \leq
\frac{x^{2} + x - 1 + 1}{2} = \frac{x^{2} + x}{2}\) (1)
\(\sqrt{\left( x - x^{2} + 1 \right).1}
\leq \frac{x - x^{2} + 1 + 1}{2} = \frac{x - x^{2} + 2}{2}\) (2)
Cộng (1) và (2) vế theo vế ta có:
\(\sqrt{x^{2} + x - 1} + \sqrt{x - x^{2} + 1}\)
\(\leq
\frac{x^{2} + x}{2} + \frac{x - x^{2} + 2}{2} = x + 1\)
Theo đề bài ta có:
\(x^{2} - x + 2 \leq x + 1 \Rightarrow (x
- 1)^{2} \leq 0\)
Đẳng thức xảy ra khi x = 1. Thử lại ta thấy x = 1 thoả mãn.
Vậy phương trình có nghiệm là x = 1.
Bài toán 3: Giải phương trình:
\(\sqrt{2x -
3} + \sqrt{5 - 2x} = 3x^{2} - 12x + 14\) (1)
Hướng dẫn giải
Điều kiện tồn tại phương trình:
\(\left\{
\begin{matrix}
2x - 3 \geq 0 \\
5 - 2x \geq 0 \\
\end{matrix} \right.\ \Leftrightarrow \left\{ \begin{matrix}
x \geq \dfrac{3}{2} \\
x \leq \dfrac{5}{2} \\
\end{matrix} \right.\ \Leftrightarrow \dfrac{3}{2} \leq x \leq
\frac{5}{2}\) (*)
Vế phải của (1):
\(3x^{2} - 12x + 14 =
3\left( x^{2} - 4x + 4 \right) + 2\)
\(= 3(x - 2)^{2} + 2 \geq
2\).
Đẳng thức xảy ra khi và chỉ khi x = 2.
Áp dụng bất đẳng thức Bunhiacôpxki thoả mãn (*) thì vế trái của phương trình (1):
\(\sqrt{2x - 3} + \sqrt{5 - 2x}\)
\(\leq
\sqrt{\left( 1^{2} + 1^{2} \right)(2x - 3 + 5 - 2x)} = \sqrt{4} =
2\).
Đẳng thức xảy ra khi và chỉ khi
\(2x - 3 =
5 - 2x \Leftrightarrow x = 2\). Đẳng thức xảy ra ở phương trình (1) là 2 nên x = 2 là nghiệm của phương trình.
Hoặc
Áp dụng bất đẳng thức Cô si cho hai số không âm ta có:
\(\sqrt{(2x - 3).1} + \sqrt{(5 - 2x).1}\)
\(\leq \frac{2x - 3 + 1}{2} + \frac{5 - 2x + 1}{2} = 2\)
Đẳng thức xảy ra khi và chỉ khi
\(\left\{
\begin{matrix}
2x - 3 = 1 \\
5 - 2x = 1 \\
\end{matrix} \right.\ \Leftrightarrow x = 2\).
Đẳng thức xảy ra ở phương trình (1) là 2 nên x = 2 là nghiệm của phương trình.
Bài toán 4: Giải phương trình:
\(x^{2} - 2x
+ 3 = \sqrt{2x^{2} - x} + \sqrt{1 + 3x - 3x^{2}}\). (1)
Hướng dẫn giải
Điều kiện
\(\left\{ \begin{matrix}
2x^{2} - x \geq 0 \\
1 + 3x - 3x^{2} \geq 0 \\
\end{matrix} \right.\) (2).
Vế trái của phương trình (1):
\(x^{2} - 2x
+ 3 = (x - 1)^{2} + 2 \geq 2\) với mọi x
\(\in \mathbb{R}\).
Đẳng thức xảy ra khi x = 1.
Theo bất đẳng thức Bunhiacôpxki với mọi x thoả mãn (2) thì vế phải của phương trình (1) thoả:
\(\sqrt{2x^{2} - x} + \sqrt{1 + 3x -
3x^{2}}\)
\(< \sqrt{\left( 1^{2} + 1^{2} \right)\left( 2x^{2} - x + 1 +
3x - 3x^{2} \right)}\)
\(= \sqrt{2 + 4x - 2x^{2}} = \sqrt{4 - (x -
1)^{2}} \leq 2\)
Đẳng thức xảy ra khi
\(2x^{2} - x = 1 + 3x
- 3x^{2}\)
Để đẳng thức xảy ra ở phương trình (1) thì cả hai vế của phương trình (1) đều bằng 2. Nên x = 1.
Thử lại thấy x = 1 là nghiệm của phương trình.
Bài toán 5: Giải phương trình:
\(5\sqrt{1 +
x^{3}} = 2\left( x^{2} + 2 \right)\) (1)
Hướng dẫn giải
Điều kiện
\(1 + x^{3} \geq 0
\Leftrightarrow (x + 1)\left( x^{2} - x + 1 \right) \geq 0\)
Do
\(x^{2} - x + 1 \geq 0\) với mọi x nên
\(x + 1 \geq 0 \Leftrightarrow x \geq -
1\)
Đặt
\(a = \sqrt{x + 1}\) ;
\(b = \sqrt{x^{2} - x + 1}\) với
\(a \geq 0\ \ ;b > 0\).
Nên phương trình (1) trở thành:
\(5ab = 2\left( a^{2} + b^{2} \right)
\Leftrightarrow 2\left( \frac{a}{b} \right)^{2} - 5\left( \frac{a}{b}
\right) + 2 = 0.\)
Giải phương trình này được
\(\frac{a}{b} =
2\) hoặc
\(\frac{a}{b} =
\frac{1}{2}\)
Với
\(\frac{a}{b} = 2\) thì phương trình (1) vô nghiệm
Với
\(\frac{a}{b} = \frac{1}{2}\) thì
\(2\sqrt{x + 1} = \sqrt{x^{2} - x + 1}
\Leftrightarrow \left\{ \begin{matrix}
x \geq - 1 \\
x^{2} - 5x - 3 = 0 \\
\end{matrix} \right.\).
Phương trình có hai nghiệm thoả điều kiện
\(x_{1} = \frac{5 - \sqrt{37}}{2}\);
\(x_{2} = \frac{5 + \sqrt{37}}{2}\).
Bài toán 6: Giải phương trình:
\(\sqrt{\frac{42}{5 - x}} + \sqrt{\frac{60}{7 - x}}
= 6\) (1)
Hướng dẫn giải
Phương trình (1) có nghĩa khi x < 5 nên
\((1) \Leftrightarrow \left( 3 - \sqrt{\frac{42}{5 -
x}} \right) + \left( 3 - \sqrt{\frac{60}{7 - x}} \right) =
0\)
\(\Leftrightarrow \dfrac{\left( 3 -
\sqrt{\dfrac{42}{5 - x}} \right)\left( 3 + \sqrt{\dfrac{42}{5 - x}}
\right)}{\left( 3 + \sqrt{\dfrac{42}{5 - x}} \right)}\)
\(+ \dfrac{\left( 3 -
\sqrt{\dfrac{60}{7 - x}} \right)\left( 3 + \sqrt{\dfrac{60}{7 - x}}
\right)}{\left( 3 + \sqrt{\dfrac{60}{7 - x}} \right)} = 0\)
\(\Leftrightarrow
\dfrac{9 - \dfrac{42}{5 - x}}{\left( 3 + \sqrt{\dfrac{42}{5 - x}} \right)}
+ \dfrac{9 - \dfrac{60}{7 - x}}{\left( 3 + \sqrt{\dfrac{60}{7 - x}}
\right)} = 0\)
\(\Leftrightarrow \dfrac{9(5 - x) - 42}{(5
- x)\left( 3 + \sqrt{\dfrac{42}{5 - x}} \right)} + \dfrac{9(7 - x) -
60}{(7 - x)\left( 3 + \sqrt{\dfrac{60}{7 - x}} \right)} = 0\)
\(\Leftrightarrow 3(1 - 3x)\left\lbrack
\dfrac{1}{(5 - x)\left( 3 + \sqrt{\dfrac{42}{5 - x}} \right)} +
\dfrac{1}{(7 - x)\left( 3 + \sqrt{\dfrac{60}{7 - x}} \right)}
\right\rbrack = 0\)
\(\Leftrightarrow 3(1 - 3x) = 0\) vì
\(\dfrac{1}{(5 - x)\left( 3 + \sqrt{\dfrac{42}{5
- x}} \right)} + \dfrac{1}{(7 - x)\left( 3 + \sqrt{\dfrac{60}{7 - x}}
\right)}\) > 0 nên
\(x =
\frac{1}{3}\).
Thử lại đúng nên nghiệm của phương trình là
\(x = \frac{1}{3}\).
Bài toán 7: Giải phương trình:
\(\sqrt{x(x
- 2)} + \sqrt{x(x - 5)} = \sqrt{x(x + 3)}\) (1)
Hướng dẫn giải
Điều kiện để phương trình có nghĩa là:
\(-
3 < x < 0\ \ \ \ ;0 < x < 5\).
Bình phương hai vế của phương trình (1) ta được:
\(x(x - 2) + x(x - 5) + 2\sqrt{x^{2}(x - 2)(x - 5)}
= x(x + 3)\)
\(\Leftrightarrow 2\sqrt{x^{2}(x - 2)(x -
5)} = 10x - x^{2}\)
\(\Leftrightarrow 4x^{2}(x - 2)(x - 5) =
\left( 10x - x^{2} \right)^{2}\)
\(\Leftrightarrow 4x^{2}(x - 2)(x - 5) =
100x^{2} - 20x^{3} + x^{4}\)
\(\Leftrightarrow 4x^{2}\left( x^{2} - 7x
+ 10 \right) = 100x^{2} - 20x^{3} + x\)
\(\Leftrightarrow 3x^{4} - 8x^{3} -
60x^{2} = 0\)
\(\Leftrightarrow x^{2}\left( 3x^{2} - 8x -
60 \right) = 0\). Giải phương trình này được
\(x \in \left\{ - \frac{10}{3};0;6
\right\}\).
Thử lai chỉ có hai nghiệm x = 0; x = 6 thoả mãn đề cho.
-------------------------------------------------------------------
Với nội dung bài Giải phương trình bằng phương pháp biến đổi tương đương trên đây chúng tôi xin giới thiệu tới các bạn học sinh cùng quý thầy cô nội dung cần nắm vững phương pháp giải, công thức giải phương trình....
Trên đây VnDoc đã giới thiệu tới các bạn lý thuyết môn Toán học 10: Giải phương trình bằng phương pháp biến đổi tương đương. Chắc hẳn qua bài viết bạn đọc đã nắm được những ý chính cũng như trau dồi được nội dung kiến thức của bài viết rồi đúng không ạ? Bài viết đã hướng dẫn bạn đọc giải phương trình bằng phương pháp biến đổi tương đương. Hi vọng qua bài viết này bạn đọc có thêm nhiều tài liệu để học tập tốt hơn môn Toán lớp 10. Để có kết quả cao hơn trong học tập, VnDoc xin giới thiệu tới các bạn học sinh tài liệu Chuyên đề Toán học 10, Giải bài tập Toán lớp 10, Giải VBT Toán lớp 10 mà VnDoc tổng hợp và giới thiệu tới các bạn đọc