Đề thi tuyển sinh lớp 10 THPT tỉnh Quảng Nam năm học 2012 - 2013 môn Toán
Đề chuẩn bị cho kỳ thi vào cấp 3 sắp tới, Vndoc.com xin gửi đến các bạn: Đề thi tuyển sinh lớp 10 THPT tỉnh Quảng Nam năm học 2012 - 2013 môn Toán.
Đề thi tuyển sinh lớp 10 môn Toán:
SỞ GIÁO DỤC VÀ ĐÀO TẠO
|
KỲ THI TUYỂN SINH VÀO LỚP 10 THPT
|
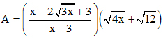
Câu 1: (2,0 điểm)
Cho biểu thức: 
a) Tìm điều kiện của x để biểu thức A có nghĩa.
b) Rút gọn biểu thức A.
c) Tính giá trị của A khi ![]()
Câu 2: (2,0 điểm)
a) Xác định các hệ số a, b của hàm số y = ax + b, biết đồ thị của nó là đường thẳng song song với đường thẳng y = – 2x + 1 và đi qua điểm M(1 ; – 3).
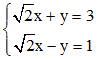
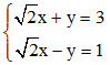
b) Giải hệ phương trình (không sử dụng máy tính cầm tay): 
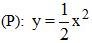
Câu 3: (2,0 điểm)
Cho parabol
và đường thẳng (d): y = (m – 1)x – 2 (với m là tham số).
a) Vẽ (P).
b) Tìm m để (d) tiếp xúc với (P) tại điểm có hoành độ dương.
c) Với m tìm được ở câu b), hãy xác định tọa độ tiếp điểm của (P) và (d).
Câu 4: (4,0 điểm)
Cho tam giác ABC vuông tại A. Qua C kẻ đường thẳng d vuông góc với AC. Từ trung điểm M của cạnh AC kẻ ME vuông góc với BC (E thuộc BC), đường thẳng ME cắt đường thẳng d tại H và cắt đường thẳng AB tại K.
a) Chứng minh: ∆AMK = ∆CMH, từ đó suy ra tứ giác AKCH là hình bình hành.
b) Gọi D là giao điểm của AH và BM. Chứng minh tứ giác DMCH nội tiếp và xác định tâm O của đường tròn ngoại tiếp tứ giác đó.
c) Chứng minh: AD.AH = 2ME.MK.
d) Cho AB = a và góc ACB = 30o. Tính độ dài đường tròn ngoại tiếp tứ giác DMCH theo a.