Đề thi tuyển sinh lớp 10 THPT tỉnh Thái Nguyên năm 2012 - 2013 môn Toán - Có đáp án
Để chuẩn bị cho kỳ thi vào cấp 3 sắp tới, Vndoc.com xin gửi đến các bạn: Đề thi tuyển sinh lớp 10 THPT tỉnh Thái Nguyên năm 2012 - 2013 môn Toán - Có đáp án,
Đề thi tuyển sinh lớp 10 môn Toán:
SỞ GIÁO DỤC VÀ ĐÀO TẠO
|
ĐỀ THI TUYỂN SINH LỚP 10 THPT
|
Bài 1 (1 điểm)
Rút gọn: 
Bài 2 (1 điểm)
Rút gọn biểu thức: ![]()
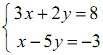
Bài 3 (1 điểm)
Không dùng máy tính cầm tay, hãy giải hệ phương trình: 
Bài 4 (1 điểm)
Không dùng máy tính cầm tay, hãy giải phương trình: 2013x2 + x - 2012 = 0
Bài 5 (1 điểm)
Cho hàm số y = (3 - 2m)x2 với m # 3/2. Tìm giá trị của m để hàm số đồng biến khi x < 0
Bài 6 (1 điểm)
Cho phương trình x2 + 3x - 7 = 0 (1). Gọi x1, x2 là hai nghiệm phân biệt của phương trình (1). Không giải phương trình hãy tính giá trị của biểu thức F = x12 - 3x2 - 2013.
Bài 7 (1 điểm)
Cho tam giác ABC vuông tại A, đường cao AH. Biết cosBAH = 2/5, cạnh huyền BC = 10 cm. Tính độ dài cạnh góc vuông AC.
Bài 8 (1 điểm)
Cho đường tròn (O), từ điểm M nằm ngoài (O) kẻ hai tiếp tuyến MA, MB với đường tròn (O) (A, B là tiếp điểm). Kẻ tia Mx nằm giữa hai tia MO và MA, tia Mx cắt (O) tại C và D. Gọi I là trung điểm của CD, đường thẳng OI cắt đường thẳng AB tại N. Gọi H là giao điểm của AB và MO. Chứng minh tứ giác MNIH nội tiếp được trong một đường tròn.
Bài 9 (1 điểm)
Cho tam giác ABC cân tại A có AB = 15cm, đường cao AH = 9cm. Tính bán kính đường tròn ngoại tiếp tam giác ABC.
Bài 10 (1 điểm)
Hai đường tròn (O1; 6,5cm) và (O2; 7,5cm) cắt nhau tại A và B. Tính độ dài đoạn nối tâm O1O2 biết AB = 12cm.