Địa lí 11 Kết nối tri thức bài 31
Địa lí 11 Kết nối tri thức bài 31: Kinh tế Cộng hòa Nam Phi
Địa lí 11 Kết nối tri thức bài 31: Kinh tế Cộng hòa Nam Phi được VnDoc.com sưu tầm và xin gửi tới bạn đọc cùng tham khảo để có thêm tài liệu giải SGK Địa 11 Kết nối tri thức nhé. Mời các bạn cùng theo dõi bài viết dưới đây.
Mở đầu
Cộng hòa Nam Phi là một trong những quốc gia phát triển nhất Châu Phi. Nền kinh tế Cộng hòa Nam Phi có đặc điểm gì nổi bật? Các ngành kinh tế hiện nay đang phát triển như thế nào?
Bài làm
- Là quốc gia có trình độ khoa học- kĩ thuật cao. Cơ sở hạ tầng hiện đại. Tổng FDI đầu tư vào Cộng hòa Nam Phi đạt 3 tỉ USD năm 2020, lớn thứ 3 châu Phi.
- Các ngành kinh tế phát triển cao.
I. Tình hình phát triển kinh tế
Câu hỏi: Dựa vào thông tin mục I, hãy trình bày khái quát sự phát triển kinh tế của Cộng hòa Nam Phi.
Bài làm
- Sự phát triển kinh tế của Cộng hòa Nam Phi
+ Là một trong ba nền kinh tế lớn nhất châu Phi, là quốc gia duy nhất của châu Phi thuộc thành viên của G20.
+ Có trình độ khoa học - công nghệ phát triển nhất châu Phi, có cơ sở hạ tầng hiện đại hỗ trợ cho các ngành kinh tế.
+ Thu hút được nhiều vốn đầu tư từ Hoa Kỳ, Anh, Pháp, Đức, Nhật Bản,... Tổng FDI đầu tư vào Cộng hòa Nam Phi đạt 3 tỉ USD năm 2020, lớn thứ ba châu Phi (sau Ai Cập và Cộng hòa Công-gô).
II. Các ngành kinh tế
1. Nông nghiệp, lâm nghiệp và thủy sản
Câu hỏi: Dựa vào thông tin mục 1 và hình 31.1, hãy trình bày một số đặc điểm nổi bật của ngành nông nghiệp, lâm nghiệp và thủy sản ở Cộng hòa Nam Phi.
Bài làm
Nông nghiệp
- Đóng góp 2,5% vào GDP (năm 2020), nhưng có vai trò quan trọng:
+ Giải quyết việc làm cho dân cư ở khu vực nông thôn;
+ Tạo ra nguồn thu ngoại tệ đáng kể nhờ xuất khẩu các mặt hàng nông sản
+ Đảm bảo an ninh lương thực quốc gia.
- Diện tích đất trồng trọt chỉ chiếm 1/5 diện tích đất nông nghiệp. Các cây trồng quan trọng là ngô, đậu tương, lúa mì, mía, hướng dương, cây ăn quả các loại.
- Chăn nuôi quảng canh chiếm 4/5 diện tích đất nông nghiệp. Các vật nuôi phổ biến là bỏ, cửu, dê, lợn....
- Nông nghiệp của Cộng hòa Nam Phi có sự phân hóa theo vùng:
+ Hoạt động trồng trọt thâm canh và chăn nuôi hỗn hợp tập trung chủ yếu ở những khu vực có tài nguyên đất và nguồn nước thuận lợi như vùng ven biển đông nam và phía nam, hình thành các vùng chuyên canh cây lương thực, cây công nghiệp và cây ăn quả;
+ Chăn nuôi gia súc thường phân bố ở các vùng khô hạn trong nội địa.
Lâm nghiệp
- Là ngành có ý nghĩa quan trọng đối với Cộng hòa Nam Phi.
- Mặc dù chỉ đóng góp 0,6% vào GDP (năm 2020) nhưng đây là ngành cung cấp nguồn nguyên liệu cho nhiều ngành khác như: sản xuất giấy, bột giấy; đặc biệt, lâm nghiệp có ý nghĩa lớn đối với việc bảo tồn đa dạng sinh học, đảm bảo sử dụng bên vững các nguồn tài nguyên thiên nhiên.
- Rừng trồng của Nam Phi có thể cung cấp hằng năm từ 15 đến 18 triệu m3 gỗ. Mô hình đồn điền trồng cây lấy gỗ đang ngày càng được đầu tư, phát triển cho năng suất cao.
Thuỷ sản
- Ngành thuỷ sản chưa thực sự phát triển, mới chỉ đóng góp khoảng 0,1% vào GDP (năm 2020).
+ Sản lượng thuỷ sản khai thác ngày càng tăng, năm 2020 đạt 602,7 nghìn tấn.
+ Sản lượng thuỷ sản nuôi trồng có xu hướng tăng lên song còn thấp, đạt 9,7 nghìn tấn (năm 2020).
- Hoạt động nuôi trồng thuỷ sản đang ngày càng được chú trọng theo hướng phát triển bền vững.
2. Công nghiệp
Câu hỏi: Dựa vào thông tin mục 2 và hình 31.2, hãy trình bày đặc điểm nổi bật của ngành công nghiệp Công hòa Nam Phi.
Bài làm
Đặc điểm công nghiệp của cộng hòa Nam Phi là:
- Là nước xuất khẩu vàng nhiều nhất thế giới
- Ngành công nghiệp chính: Khai thác khoáng sản, luyện kim màu, cơ khí, hóa chất…
- Sản phẩm công nghiệp: Uranium, kim cương, crôm…
- Các trung tâm công nghiệp chính là: Kếp tao, Giô-han-ne-xbua, Po Ê-li-da-bét, Đông Luân Đôn và Đuốc-ban.
Luyện tập và vận dụng
Luyện tập
Câu hỏi 1: Dựa vào bản đồ phân bố công nghiệp, hãy xác định cơ cấu ngành công nghiệp của các trung tâm công nghiệp ở Cộng hòa Nam Phi.
Bài làm
Cơ cấu ngành công nghiệp của các trung tâm công nghiệp ở Cộng hòa Nam Phi:
+ Trung tâm công nghiệp Prê-tô-ri-a có các ngành: sản xuất ô tô, thực phẩm, dệt may, khai thác kim cương.
+ Trung tâm công nghiệp Giô-han-ne-xbua có các ngành: sản xuất ô tô, thực phẩm, luyện kim màu, hóa chất, khai thác vàng.
+ Trung tâm công nghiệp Đuốc-ban có các ngành: sản xuất ô tô, thực phẩm, luyện kim màu, luyện kim đen.
+ Trung tâm công nghiệp Đông Luân Đôn có các ngành: thực phẩm, dệt may, chế biến lâm sản.
+ Trung tâm công nghiệp Po Ê-li-da-bét có các ngành: sản xuất ô tô, hóa chất, luyện kim đen, dệt may.
+ Trung tâm công nghiệp Kếp-tao có các ngành: sản xuất ô tô, dệt may, chế biến lâm sản.
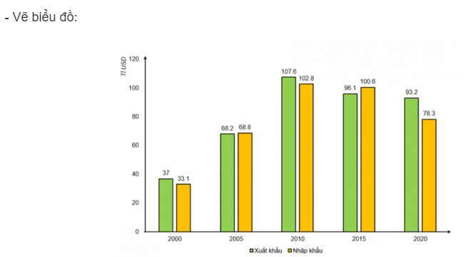
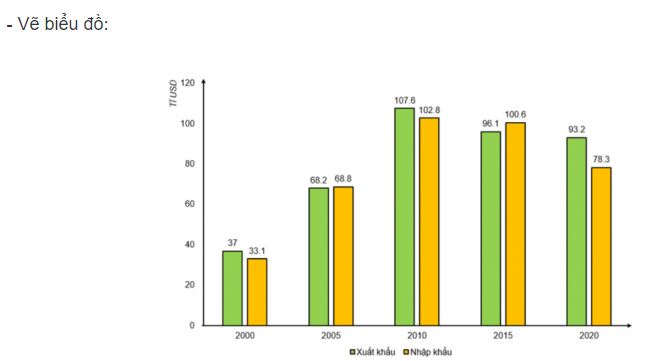
Câu hỏi 2: Dựa vào bảng 31.4, hãy vẽ biểu đồ thể hiện trị giá xuất nhập khẩu hàng hóa và dịch vụ của Cộng hòa Nam Phi giai đoạn 2000-2020. Nêu nhận xét.
Bài làm

Biểu đồ thể hiện trị giá xuất nhập khẩu hàng hóa và dịch vụ của Cộng hòa Nam Phi giai đoạn 2000-2020
- Nhận xét: Nhìn chung, giá trị xuất nhập khẩu hàng hóa và dịch vụ của Cộng hòa Nam Phi giai đoạn 2000 - 2020 đều có sự biến động, tăng nhanh trong giai đoạn từ 2000 - 1020 và giảm dần từ 2010 đến 2020. Cụ thể:
+ Giá trị xuất khẩu năm 2000 đạt 37 tỉ USD tăng nhanh đến năm 2010 đạt 107,6 tỉ USD, sau đó giảm dần xuống còn 93,2 tỉ USD năm 2020.
+ Giá trị nhập khẩu năm 2000 đạt 33,1 tỉ USD tăng nhanh đến năm 2010 đạt 102,8 tỉ USD, sau đó giảm dần xuống còn 78,3 tỉ USD năm 2020.
+ Trong giai đoạn này chỉ có 2 thời kì giá trị xuất nhập khẩu của Nam Phi ở mức nhập siêu đó là thời kì 2005 và 2015, các thời kì còn lại đều là nước xuất siêu.
Vận dụng
Câu hỏi: Sưu tầm thông tin, viết bài giới thiệu về một sản phẩm nông nghiệp hoặc một sản phẩm công nghiệp đặc trưng của Công hòa Nam Phi.
Bài làm
Cộng hòa Nam Phi khai thác lượng kim cương đứng hàng thứ 3 trên hành tinh (sau Zaire và Liên bang Nga). Viên kim cương "Carnival" (Lễ hội) nặng 650 carats (1 carat = 0,2 gram) được tìm thấy tại đây vào năm 1897. Còn viên "Tiffany" to nhất thế giới trị giá 10 triệu USD cũng được tìm ra tại Nam Phi, hiện đang được bảo quản ở New York (Mỹ). Trong một tòa nhà từng là nhà tù thời Trung cổ trên phố Charterhouse tại London City (Anh), nay được dành làm nhà kho bảo quản kim cương của hãng De Beers - Hãng khai thác kim cương chính ở Nam Phi và Namibia.
--------------------------------------
VnDoc.com vừa gửi tới bạn đọc bài viết Địa lí 11 Kết nối tri thức bài 31: Kinh tế Cộng hòa Nam Phi. Mời các bạn cùng tham khảo thêm tại mục Địa lí 11 Kết nối tri thức, Toán 11 Kết nối tri thức.