Đề thi học kì 2 môn Toán lớp 8 phòng GD&ĐT Tam Đảo, Vĩnh Phúc năm 2015 - 2016
Đề thi học kì 2 môn Toán lớp 8
Đề thi học kì 2 môn Toán lớp 8 phòng GD&ĐT Tam Đảo, Vĩnh Phúc năm 2015 - 2016 là đề kiểm tra cuối học kì II lớp 8 môn Toán có đáp án. VnDoc xin giới thiệu tới các bạn tài liệu này giúp các bạn ôn thi học kì 2 môn Toán lớp 8 tốt hơn, đạt điểm cao trong bài thi của mình. Mời các bạn tham khảo.
Đề thi học kì 2 môn Lịch sử lớp 8 phòng GD&ĐT Châu Thành, Bến Tre năm 2015 - 2016
Đề thi học kì 2 môn Ngữ văn lớp 8 phòng GD&ĐT Cam Lộ, Quảng Trị năm 2015 - 2016
| PHÒNG GD&ĐT TAM ĐẢO | ĐỀ KIỂM TRA HỌC KỲ II NĂM HỌC 2015 – 2016 MÔN: TOÁN 8 Thời gian làm bài: 90 phút (không kể thời gian phát đề) |
PHẦN I. TRẮC NGHIỆM (3,0 điểm)
Hãy chọn đáp án đúng trong các câu sau:
Câu 1. Trong các phương trình sau, phương trình nào là phương trình bậc nhất một ẩn
A. x2 - 16 = 0 B. 2x - 1 = 0 C. 0x - 3 = 0 D. Ix2 + 4x + 4I = 6x + 3
Câu 2. Điều kiện xác định của phương trình
là
A. x ≠ 1 B. x ≠ 2 và x ≠ 3 C. x ≠ 1 và x ≠ -3 D. x ≠ 1 và x ≠ 2
Câu 3. Nếu -2a > -2b thì
A. a < b B. a > b C. a≥ b, D. a = b
Câu 4. Bất phương trình - 4x + 12 > 0 có nghiệm là
A. x > 3 B. x > -3 C. x < 3 D. x < - 3
Câu 5. Cho ΔABC có M ∈ AB, và AM = 1/3 AB, vẽ MN //BC, N ∈ AC, NAC. Biết MN = 2cm, thì BC bằng:
A. 4cm B. 6cm C. 8cm D. 10cm
Câu 6. Một hình hộp chữ nhật có kích thước 3 x 4 x 5 (cm) thì diện tích xung quanh và thể tích của nó là
A. 60cm2 và60cm3
B. 54cm2 và 32cm3
C. 64cm2 và 35cm3
D. 70cm2 và 60cm3
PHẦN II. TỰ LUẬN (7,0 điểm):
Câu 7 (2,0 điểm). Giải các phương trình, bất phương trình sau:
a) 9x – 3 = 6x + 15
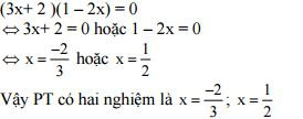
b) (3x+ 2 )(1 – 2x) = 0
![]()
c) d) 2x – 15 > - x + 3
Câu 8 (1,5 điểm). Một ô tô đi từ A đến B với vận tốc 40 km/h, đến B ô tô nghỉ 1 giờ, rồi quay trở về A với vận tốc 60 km/h, thời gian cả đi lẫn về (kể cả thời gian nghỉ ở B) là 5 giờ 30 phút. Tính quãng đường AB?
Câu 9 (3,0 điểm). Cho góc nhọn ∠xOy, trên tia Ox lấy hai điểm D và A sao cho OD = 3cm, OA = 8cm; trên tia Oy lấy hai điểm B và C sao cho OB = 4cm, OC = 6cm.
a) Chứng minh ΔOAB đồng dạng với ΔOCD.
b) Gọi M là giao điểm của AB với CD, chứng minh MA.MB = MC.MD.
c) Cho biết tổng chu vi của ΔOAB và ΔOCD là 38,5cm. Tính độ dài các đoạn thẳng AB và CD?
Câu 10 (0,5 điểm). Cho các số dương x, y thỏa mãn x + y =1. Tìm giá trị nhỏ nhất của
![]()
Đáp án đề thi học kì 2 môn Toán lớp 8
Đề thi học kì 2 môn Toán lớp 8 phòng GD&ĐT Cam Lộ, Quảng Trị năm 2015 - 2016
Đề thi học kỳ 2 môn Tiếng Anh lớp 8 Phòng GD-ĐT Châu Thành năm học 2015 - 2016
PHẦN I. TRẮC NGHIỆM (3 điểm): (mỗi câu trả lời đúng được 0,5đ)
| Câu | 1 | 2 | 3 | 4 | 5 | 6 |
| Đáp án | B | D | A | C | B | D |
PHẦN II. TỰ LUẬN (7 điểm):
Câu 7:
a) 9x – 3 = 6x + 15
<=> 9x – 6x = 15 +3
<=> 3x = 18
<=> x = 6
Vậy PT có nghiệm là x = 6
b)

![]()
ĐKXĐ x≠2 và x≠3
Quy đồng khử mẫu ta có phương trình
(x + 3)(x - 3) = -5
<=>x2 – 9 = - 5
<=> x2 = 4
<=> x = 2 hoặc x = -2
Vì ĐKXĐ x≠2 và x≠3 nên phương trình có nghiệm duy nhất là x = 2
d) 2x – 15 > - x + 3
<=>2x + x > 3 + 15
<=>3x> 18
<=>x > 6
Vậy nghiệm của BPT là x> 6
Câu 8:

KL: Độ dài quãng đường AB là 108 (km)
Câu 9:

Chứng minh được OA/OC = OB/OD = 4/3 với ∠O chung
Suy ra ΔOAB ∽ ΔOCD (c.g.c)

Câu 10:
