Giải bài tập SBT Vật lý lớp 6 bài 9: Lực đàn hồi
Giải bài tập SBT Vật lý lớp 6 bài 9
- Bài 9.1 trang 31 Sách bài tập (SBT) Vật lí 6
- Bài 9.2 trang 31 Sách bài tập (SBT) Vật lí 6
- Bài 9.3 trang 31 Sách bài tập (SBT) Vật lí 6
- Bài 9.4 trang 31 Sách bài tập (SBT) Vật lí 6
- Bài 9.5 trang 32 Sách bài tập (SBT) Vật lí 6
- Bài 9.6 trang 32 Sách bài tập (SBT) Vật lí 6
- Bài 9.7 trang 32 Sách bài tập (SBT) Vật lí 6
- Bài 9.8 trang 32 Sách bài tập (SBT) Vật lí 6
- Bài 9.9 trang 33 Sách bài tập (SBT) Vật lí 6
- Bài 9.10 trang 33 Sách bài tập (SBT) Vật lí 6
- Bài 9.11 trang 33 Sách bài tập (SBT) Vật lí 6
Giải bài tập SBT Vật lý lớp 6 bài 9: Lực đàn hồi là tài liệu học tốt môn Vật lý lớp 6, hướng dẫn các em giải chi tiết các bài tập cơ bản và nâng cao trong vở bài tập Lý 6. Hi vọng đây sẽ là tài liệu tham khảo hữu ích dành cho quý thầy cô và các em học sinh.
Giải bài tập trang 31, 32 SGK Vật lý lớp 6: Lực đàn hồi
Giải bài tập SBT Vật lý lớp 6 bài 8: Trọng lực. Đơn vị lực
Giải bài tập SBT Vật lý lớp 6 bài 10: Lực kế. Phép đo lực. Trọng lượng và khối lượng
Bài 9.1 trang 31 Sách bài tập (SBT) Vật lí 6
Lực nào dưới đây là lực đàn hồi?
A. Trọng lực của một quả nặng.
B. Lực hút của một nam châm tác dụng lên một miếng sắt.
C. Lực đẩy của lò xo dưới yên xe đạp.
D. Lực kết dính giữa một tờ giấy dán trên bảng với mặt bảng.
Trả lời:
Chọn C.
Lực đẩy của lò xo dưới yên xe đạp là lực đàn hồi
Bài 9.2 trang 31 Sách bài tập (SBT) Vật lí 6
Bằng cách nào em có thể nhận biết một vật có tính chất đàn hồi hay không đàn hồi? Hãy nêu một thí dụ minh họa.
Trả lời:
Nếu ta tác dụng vào vật một lực, vật bị biến dạng, khi thôi tác dụng lực vào vật, vật trở về dạng cũ thì vật đó có tính đàn hồi.
Ví dụ: Lò xo bút: khi ta nén lò xo sẽ bị biến dạng. Nhưng khi không tác động vào lò xo nó sẽ trở lại bình thường.
Bài 9.3 trang 31 Sách bài tập (SBT) Vật lí 6
Hãy đánh dấu X vào ô ứng với vật có tính chất đàn hồi:
Một cục đất sét □
Một quả bóng cao su □
Một quả bóng bàn □
Một hòn đá □
Một chiếc lưỡi cưa □
Một đoạn dây đồng nhỏ □
Trả lời:
Vật có tính đàn hồi bao gồm:
Một quả bóng cao su
Một chiếc lưỡi cưa
Bài 9.4 trang 31 Sách bài tập (SBT) Vật lí 6
Hãy dùng những từ thích hợp trong khung để điền vào chỗ trống trong các câu sau:
- lực đàn hồi - trọng lượng - lực cân bằng
- biến dạng - vật có tính chất đàn hồi

a) Quan sát một cái cung bằng tre treo trên tường, ta thấy dây cung làm cho cánh cung bị cong đi. (H.9.1a)
Cánh cung đã bị ................. Cánh cung là một ................ Khi nó bị biến dạng, nó sẽ tác dụng vào hai đầu dây cung hai................... Hai lực này cùng tác dụng vào dây cung, chúng có cùng phương, ngược chiều và là hai
b) Một người đứng yên trên một tấm ván mỏng. Tấm ván bị cong đi (H.9.1b). Nó đã bị ............... Đó là do kết quả tác dụng của ....................... của người. Tấm ván là ............... Khi bị cong, nó sẽ tác dụng vào người một .................. Lực này và trọng lượng của người là hai.........................
c) Một người ngồi trên một chiếc xe đạp. Dưới tác dụng của....................... của người, lò xo ở yên xe bị nén xuống. Nó đã bị..................... Lò xo ở yên xe là............. Khi bị biến dạng, nó sẽ tác dụng vào người một......................... đẩy lên. Lực này và trọng lượng của người là hai......................
Trả lời:
Điền vào chỗ trống trong các câu sau :
a) Quan sát một cái cung bằng tre treo trên tường, ta thấy dây cung làm cho cánh cung bị cong đi.
Cánh cung đã bị biến dạng. Cánh cung là một vật có tính chất đàn hồi. Khi nó bị biến dạng, nó sẽ tác dụng vào hai đầu dây cung hai lực đàn hồi. Hai lực này cùng tác dụng vào dây cung, chúng có cùng phương, ngược chiều và là hai lực cân bằng.
b) Một người đứng yên trên một tấm ván mỏng. Tấm ván bị cong đi. Nó đã bị biến dạng. Đó là do kết quả tác dụng của trọng lượng của người. Tấm ván là vật có tính chất đàn hồi. Khi bị cong, nó sẽ tác dụng vào người một lực đàn hồi. Lực này và trọng lượng của người là hai lực cân bằng.
c) Một người ngồi trên một chiếc xe đạp. Dưới tác dụng của trọng lượng của người, lò xo ở yên xe bị nén xuống. Nó đã bị biến dạng. Lò xo ở yên xe là vật có tính chất đàn hồi. Khi bị biến dạng, nó sẽ tác dụng vào người một lực đàn hồi đẩy lên. Lực này và trọng lượng, của người là hai lực cân bằng.
Bài 9.5 trang 32 Sách bài tập (SBT) Vật lí 6
Biến dạng của vật nào dưới đây là biến dạng đàn hồi?
A. Cục đất sét. B. Sợi dây đồng.
C. Sợi dây cao su. D. Quả ổi chín.
Trả lời:
Chọn C
Biến dạng của sợi dây cao su là biến dạng đàn hồi. Các vật còn lại là không đàn hồi.
Bài 9.6 trang 32 Sách bài tập (SBT) Vật lí 6
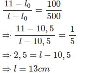
Treo thẳng đứng một lò xo, đầu dưới được gắn với một quả cân 100g thì lò xo có độ dài là 11 cm; nếu thay bằng quả cân 200g thì lò xo có độ dài là 11,5cm. Hỏi nếu treo quả cân 500g thì lò xo sẽ có độ dài bao nhiêu?
A. 12cm. B. 12,5cm.
C. 13cm D. 13,5cm.
Trả lời:
Chọn C
Gọi l0 là chiều dài ban đầu của lò xo ta có độ biến dạng khi treo quả cân 100g là 11 - l0 và khi treo quả cân 200g là 11,5 - l0. Vì độ biến dạng tỉ ỉệ với khối lượng các quả cân treo vào nên ta có:

Gọi l là chiều dài khi treo quả cân 500g, ta có độ biến dạng khi treo quả cân 500g là 1 - l0 = l - 10,5. Theo tính chất độ biến dạng tỉ lệ với khối lượng các quả cân treo vào nên ta có:

Bài 9.7 trang 32 Sách bài tập (SBT) Vật lí 6
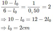
Nếu treo quả cân 1kg vào một cái "cân lò xo" thì lò xo của cân có độ dài 10cm. Nếu treo quả cân 0,5kg thì lò xo có độ dài 6cm. Hỏi nếu treo quả cân 200g thì lò xo sẽ có độ dài bao nhiêu?
A. 7,6cm. B. 5cm. C. 3,6cm. D. 2,4cm
Trả lời:
Chọn C
Gọi l0 là chiều dài ban đầu của lò xo, ta có độ biến dạng khi treo quả cân 1 kg là 10 - l0 và khi treo quả cân 0,5kg là 6 - l0. Vì độ biến dạng tỉ lệ với khối lượng các quả cân treo vào nên ta có:

Gọi l là chiều dài khi treo quả cân 200g, ta có độ biến dạng khi treo quả cân 200g là l - l0 = l -2. Theo tính chất độ biến dạng tỉ lệ với khốỉ lượng các quả cân treo vào nên ta có:

Bài 9.8 trang 32 Sách bài tập (SBT) Vật lí 6
Dùng những từ thích hợp trong khung để điền vào những chỗ trống trong các câu dưới đây
- trọng lực
- lực đàn hồi
- dãn ra
- cân bằng lẫn nhau
a) Treo một quả nặng vào một lò xo. Lò xo sẽ bị..................
b) Lực mà lò xo tác dụng vào quả nặng là.............................
c) Quả nặng đứng yên. Nó chịu tác dụng đổng thời của hai lực là lực đàn hổi và................
d) Hai lực này..............
Trả lời:
Dùng những từ thích hợp trong khung để điền vào những chỗ trống
a) Treo một quả nặng vào một lò xo. Lò xo sẽ bị dãn ra
b) Lực mà lò xo tác dụng vào quả nặng là lực đàn hồi.
c) Quả nặng đứng yên. Nó chịu tác dụng đồng thời của hai lực là lực đàn hồi và trọng lực.
d) Hai lực này cân bằng lẫn nhau.
Bài 9.9 trang 33 Sách bài tập (SBT) Vật lí 6
Nếu treo một quả cân 100g vào một sợi dây cao su thì khi đã đứng yên quả cân chịu tác dụng
A. chỉ của trọng lực có độ lớn là 1N.
B. chỉ của lực đàn hồi cỏ độ lớn là 10N.
c. của trọng lực có độ lớn 1N và lực đàn hổi có độ lớn 1N.
D. của trọng lực cỏ độ lớn 1N và lực đàn hôi có độ lớn 10N.
Trả lời:
Chọn C
Nếu treo một quả cân 100g vào một sợi dây cao su thì khi đã đứng yên quả cân chịu tác dụng của trọng lực có độ lớn 1N và lực đàn hồi có độ lớn 1N.
Bài 9.10 trang 33 Sách bài tập (SBT) Vật lí 6
Lần lượt treo vào một lò xo các vật có khối lượng m1, m2, m3 thì lò xo dãn ra như vẽ ở hình 9.2. Hãy so sánh các khối lượng m1, m2, m3.

A. m1 > m2 > m3.
B. m1 = m2 = m3
C. m1 < m2 < m3
D. m2 > m1 > m3
Trả lời
Chọn D
Căn cứ độ dãn của lò xo m2 làm lò xo giãn nhiều nhất, m3 làm giãn ít nhất nên ta thấy m2 > m1 > m3.
Bài 9.11 trang 33 Sách bài tập (SBT) Vật lí 6
Tại sao vận động viên môn thể thao nhảy cầu lại phải nhún nhiều lần trên tấm nhún làm bằng chất đàn hồi trước khi nhảy xuống nước?
Trả lời
Vận động viên môn thể thao nhảy cầu lại phải nhún nhiều lần trên tấm nhún làm bằng chất đàn hồi trước khi nhảy xuống nước là để tạo ra sự biến dạng càng lớn và cũng là tạo ra một lực đàn hồi ngày càng lớn tác dụng vào người đó để người đó có thể bật nhảy lên cao hơn.