Giải bài tập Toán 11 bài 2: Quy tắc tính đạo hàm
Giải bài tập Toán 11 Giải tích: Quy tắc tính đạo hàm
VnDoc xin giới thiệu tới bạn đọc tài liệu Giải bài tập Toán 11 bài 2: Quy tắc tính đạo hàm, hy vọng qua bộ tài liệu các bạn học sinh sẽ rèn luyện giải bài tập Toán 11 nhanh và chính xác nhất. Mời thầy cô cùng các bạn học sinh tham khảo.
Giải bài tập Toán 11 ôn tập chương 3: Dãy số - Cấp số cộng và cấp số nhân
Giải bài tập Toán 11 bài 2: Giới hạn của hàm số
Giải bài tập Toán 11 bài 3: Hàm số liên tục
Giải bài tập Toán 11 ôn tập chương 4: Giới hạn
Giải bài tập Toán 11 bài 1: Định nghĩa và ý nghĩa của đạo hàm
Giải bài tập Toán 11 Quy tắc tính đạo hàm
Bài 1 (trang 162 SGK Đại số 11): Bằng định nghĩa, tìm đạo hàm của các hàm số sau:
a. y = 7 + x – x2 tại xo = 1
b. y = x3 – 2x + 1 tại xo = 2.
Lời giải:
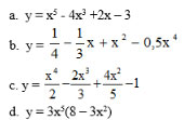
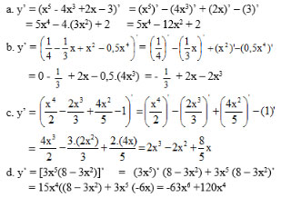
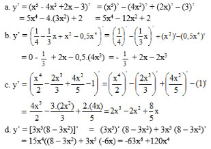
Bài 2 (trang 163 SGK Đại số 11): Tìm đạo hàm của các hàm số sau:

Lời giải:

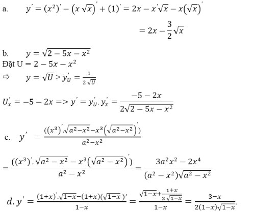
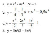
Bài 3 (trang 163 SGK Đại số 11): Tìm đạo hàm của các hàm số sau:

Lời giải:

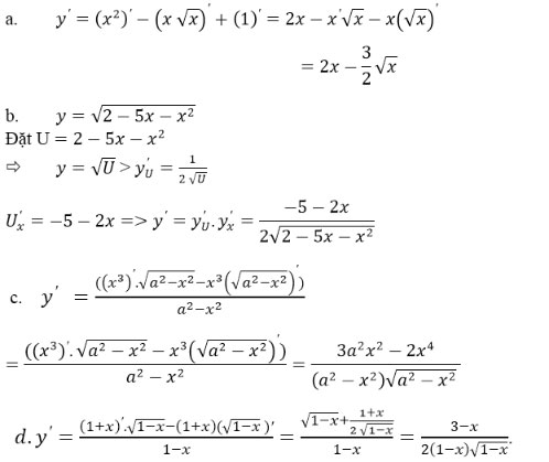
Bài 4 (trang 163 SGK Đại số 11): Tính đạo hàm của các hàm số sau:

Lời giải:

Bài 5 (trang 163 SGK Đại số 11): Cho y = x3 - 3x2 + 2. Tìm x để:
a. y' > 0
b. y' < 3
Lời giải:

------------------------------------
Trên đây VnDoc.com đã giới thiệu tới bạn đọc tài liệu: Giải bài tập Toán 11 bài 2: Quy tắc tính đạo hàm. Để có kết quả cao hơn trong học tập, VnDoc xin giới thiệu tới các bạn học sinh tài liệu Hóa học lớp 10, Giải bài tập Hóa học lớp 11, Hóa học lớp 12, Thi thpt Quốc gia môn Văn, Thi thpt Quốc gia môn Lịch sử, Thi thpt Quốc gia môn Địa lý, Thi thpt Quốc gia môn Toán, đề thi học kì 1 lớp 11, đề thi học kì 2 lớp 11 mà VnDoc tổng hợp và đăng tải.
