Giải bài tập Toán 11 bài 1: Định nghĩa và ý nghĩa của đạo hàm
Giải bài tập Toán 11 Giải tích: Định nghĩa và ý nghĩa của đạo hàm
VnDoc xin giới thiệu tới bạn đọc tài liệu Giải bài tập Toán 11 bài 1: Định nghĩa và ý nghĩa của đạo hàm, hy vọng qua bộ tài liệu các bạn học sinh sẽ rèn luyện cách giải bài tập Toán 11 một cách hiệu quả hơn. Mời thầy cô cùng các bạn học sinh tham khảo.
Giải bài tập Toán 11 bài 4: Cấp số nhân
Giải bài tập Toán 11 ôn tập chương 3: Dãy số - Cấp số cộng và cấp số nhân
Giải bài tập Toán 11 bài 2: Giới hạn của hàm số
Giải bài tập Toán 11 Định nghĩa và ý nghĩa của đạo hàm
Bài 1 (trang 157 SGK Đại số 11): Tìm số gia của hàm số f(x) = x3, biết rằng:
a. x0 = 1; Δx = 1;
b. x0 = 1; Δx = -0,1;
Lời giải:
Số gia của hàm số được tính theo công thức:
Δy = f(x) – f(x0) = f(x0 + Δx) – f(x0)
a. Δy = f(1 + 1) – f(1) = f(2) – f(1) = 23 – 13 = 7
b. Δy = f(1 – 0,1) – f(1) = f(0,9) – f(1) = (0,9)3 – 13 = -0,271.
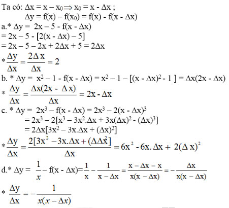
Bài 2 (trang 156 SGK Đại số 11):
Lời giải:

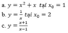
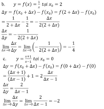
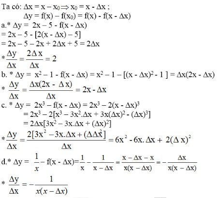
Bài 3 (trang 156 SGK Đại số 11): Tính ( bằng định nghĩa) đạo hàm của mỗi hàm số tại các điểm đã chỉ ra:

Lời giải:
y = x2 + x tại x0 = 1
*Giả sử Δx là số gia của đối số tại x0 = 1. Ta có:
∆Δy = f(x0+Δx)-f(x0) = f(1-Δx) = f(1)
= (1+Δx)2 +(1+Δx)-(12 +1)
= Δx(3+Δx)
* Δx/Δy = 3+x
* limΔx/Δy = lim(3-Δx) = 3(vớiΔx →0)

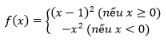
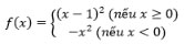
Bài 4 (trang 156 SGK Đại số 11): Chứng minh rằng hàm số:
![]()
Không có đạo hàm tại điểm x = 0 nhưng có đạo hàm tại điểm x = 2.
Lời giải:

Bài 5 (trang 156 SGK Đại số 11): Viết phương trình tiếp tuyến đường cong y = x3
a. Tại điểm (-1; -1);
b. Tại điểm có hoành độ bằng 2;
c. Biết hệ số góc của tiếp tuyến bằng 3.
Lời giải:

Bài 6 (trang 156 SGK Đại số 11): Viết phương trình tiếp tuyến của hypebol y = 1/x

Lời giải:


Bài 7 (trang 157 SGK Đại số 11): Một vật rơi tự do theo phương trình s=1/2 gt2, trong đó g≈9,8m/s2 là gia tốc trọng trường.
a. Tìm vận tốc trung bình của chuyển động trong khoảng thời gian từ t (t = 5s) đến t+Δt, trong các trường hợp Δt = 0,1s; Δt = 0,05s; Δt = 0,001s.
b. Tìm vận tốc tức thời của chuyển động tại thời điểm t = 5s.
Lời giải:

------------------------------------
Trên đây VnDoc.com đã giới thiệu tới bạn đọc tài liệu: Giải bài tập Toán 11 bài 1: Định nghĩa và ý nghĩa của đạo hàm. Để có kết quả cao hơn trong học tập, VnDoc xin giới thiệu tới các bạn học sinh tài liệu Hóa học lớp 10, Giải bài tập Hóa học lớp 11, Hóa học lớp 12, Thi thpt Quốc gia môn Văn, Thi thpt Quốc gia môn Lịch sử, Thi thpt Quốc gia môn Địa lý, Thi thpt Quốc gia môn Toán, đề thi học kì 1 lớp 11, đề thi học kì 2 lớp 11 mà VnDoc tổng hợp và đăng tải.
