Giải bài tập Toán 11 bài 3: Hàm số liên tục
Giải bài tập Toán 11 Giải tích: Hàm số liên tục
VnDoc xin giới thiệu tới các bạn học sinh lớp 11 tài liệu Giải bài tập Toán 11 bài 3: Hàm số liên tục, nội dung tài liệu bao gồm 6 bài tập trang 140, 141 SGK kèm theo lời giải chi tiết sẽ là nguồn thông tin hay để giúp các bạn học sinh có kết quả cao hơn trong học tập.
Giải bài tập Toán 11 bài 2: Dãy số
Giải bài tập Toán 11 bài 3: Cấp số cộng
Giải bài tập Toán 11 bài 4: Cấp số nhân
Giải bài tập Toán 11 ôn tập chương 3: Dãy số - Cấp số cộng và cấp số nhân
Giải bài tập Toán 11 Hàm số liên tục
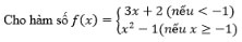
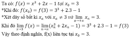
Bài 1 (trang 140 SGK Đại số 11): Dùng định nghĩa xét tính liên tục của hàm số f(x) = x3+2x-1 tại x0=3.
Lời giải:
Bài 2 (trang 141 SGK Đại số 11):

b.Trong biểu thức g(x) ở trên, cần thay số 5 bởi số nào đó để hàm số liên tục tại x0=2.
Lời giải:

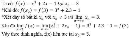
Bài 3 (trang 141 SGK Đại số 11):
![]()
a. Vẽ đồ thị hàm số y= f(x). Từ đó nêu nhận xét vê tính liên tục của hàm sso trên tập xác định của nó.
b. Khẳng định nhận xét trên bằng 1 chứng minh.
Lời giải:
a. Đồ thị hàm số (hình bên). Từ đồ thị ta thấy số gián đoạn tại x = -1.

Bài 5 (trang 141 SGK Đại số 11): Ý kiến sau đúng hay sai?
"Nếu hàm số y = f(x) liên tục tại điểm x0 và hàm số y = g(x) không liên tục tại x0, thì y = f(x) + g(x) là một hàm số không liên tục tại x0".
Lời giải:
Ý kiến trên đúng, vì y = h(x) = f(x) + g(x) liên tục tại x0 thì h(x) – f(x) = g(x) liên tục tại x0 (theo định lý 2 về hàm số liên tục) trái với giả thiết g(x) không liên tục tại x0.
Bài 6 (trang 141 SGK Đại số 11): Chứng minh rằng phương trình:
a. 2x3 – 6x + 1 = 0 có ít nhất hai nghiệm.
b. cos x = x có nghiệm
Lời giải:
a. Đặt f(x) = 2x3 – 6x + 1
TXĐ: D = R
Ta có: f(-2) = 2.(-2)3 – 6(-2) + 1 = - 3 < 0
f(-1) = - 2 + 6 + 1 = 5 > 0
f(-2).f(-1) < 0
Mà f(x) là hàm đa thức xác định trên R nên liên tục trên tập R. Do đó f(x) liên tục trên (-2; -1).
Phương trình f(x) = 0 có ít nhất một nghiệm x0 ∈(-2; -1).
Tương tự ta có:
f(-1) = 2(-1)3 – 6(-1) + 1 = 5
f(1) = 2 - 6 + 1 = -3
f(-1).f(1) < 0 nên phương trình có ít nhất một nghiệm x0 ∈ (-1;1).
Vì các đoạn (-2; -1) và (-1; 1) rời nhau nên các nghiệm nói trên không thể trùng nhau. Vậy phương trình đã cho có ít nhất 2 nghiệm.
b. Xét hàm số g(x) = x - cos x liên tục trên R, do đó liên tục trên đoạn [- π; π] ta có:
g(- π) = - π - cos (- π) = - π + 1 < 0
g( π) = π - cos π = π - (-1) = π + 1 > 0
g(- π). g( π) <0
Theo định lí 3, phương trình x - cos x = 0 có nghiệm trong (- π; π) tức là cos x = x có nghiệm.
------------------------------------
Trên đây VnDoc.com đã giới thiệu tới bạn đọc tài liệu: Giải bài tập Toán 11 bài 3: Hàm số liên tục. Để có kết quả cao hơn trong học tập, VnDoc xin giới thiệu tới các bạn học sinh tài liệu Hóa học lớp 10, Giải bài tập Hóa học lớp 11, Hóa học lớp 12, Thi thpt Quốc gia môn Văn, Thi thpt Quốc gia môn Lịch sử, Thi thpt Quốc gia môn Địa lý, Thi thpt Quốc gia môn Toán, đề thi học kì 1 lớp 11, đề thi học kì 2 lớp 11 mà VnDoc tổng hợp và đăng tải.
