Giải bài tập Toán 11 ôn tập chương 4: Giới hạn
Giải bài tập Toán 11 Giải tích: Giới hạn
VnDoc xin giới thiệu tới bạn đọc tài liệu Giải bài tập Toán 11 ôn tập chương 4: Giới hạn, nội dung tài liệu gồm 15 bài tập kèm theo lời giải chi tiết sẽ là nguồn thông tin hữu ích để phục vụ công việc học tập của các bạn học sinh được tốt hơn.
Giải bài tập Toán 11 bài 3: Cấp số cộng
Giải bài tập Toán 11 bài 4: Cấp số nhân
Giải bài tập Toán 11 ôn tập chương 3: Dãy số - Cấp số cộng và cấp số nhân
Giải bài tập Toán 11 ôn tập chương 4
Bài 1 (trang 141 SGK Đại số 11): Hãy lập bảng liệt kê các giới hạn đặc biệt của dãy số và giới hạn đặc biệt của hàm số.
Lời giải:
Bài 2 (trang 141 SGK Đại số 11 Ôn tập): Cho hai dãy số (un) và (vn). Biết |un – 2| ≤ vn với mọi n và lim vn = 0. Có kết luận gì về giới hạn của dãy số (un)?
Lời giải:

Bài 3 (trang 141 SGK Đại số 11 Ôn tập): Tên một học sinh được mã hóa bởi số 1530. Biết rằng mỗi chữ số trong số này là giá trị một trong các biểu thức A, H, N, O với

Hãy cho biết tên của học sinh này, bằng cách thay các chữ số trên bởi các chữ kí hiệu biểu thức tương ứng.
Lời giải:


Khi thay đổi chữ số 1530 bởi các biểu thức giới hạn tương ứng ta được chữ HOAN là tên các bạn học sinh đã cho.
Bài 4 (trang 142 SGK Đại số 11):
a. Có nhận xét gì về công bội của các cấp số nhân lùi vô hạn?
b. Cho ví dụ về một cấp số nhân lùi vô hạn và có công bội là số âm và một cấp số nhân lùi vô hạn có công bội là số dương và tính tổng của các cấp số nhân đó.
Lời giải:

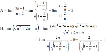
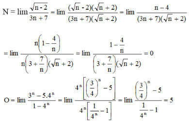
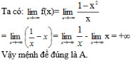
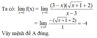
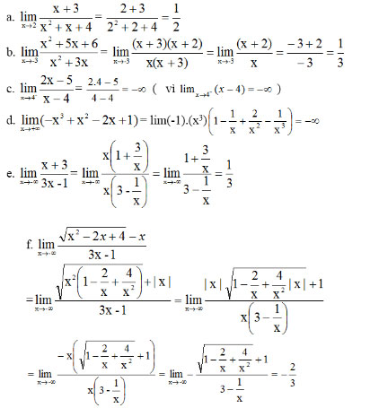
Bài 5 (trang 142 SGK Đại số 11): Tìm các giới hạn sau:

Lời giải:

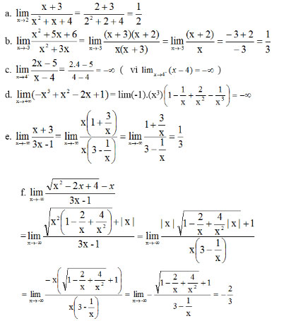
Bài 6 (trang 142 SGK Đại số 11): Cho hai hàm số f(x) = ...

Lời giải:

Bài 7 (trang 143 SGK Đại số 11): Xét tính liên tục trên R của hàm số:

Lời giải:

Bài 8 (trang 143 SGK Đại số 11): Chứng minh rằng phương trình x5 – 3x4 + 5x – 2 = 0 có ít nhất ba nghiệm nằm trong khoảng (-2; 5)
Lời giải:

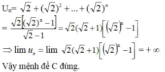
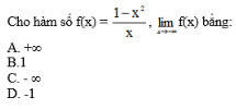
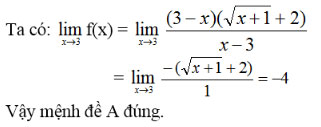
Bài 9 (trang 143 SGK Đại số 11): Mệnh đề nào sau đây là mệnh đề đúng?
A. Một dãy số có giới hạn thì luôn luôn tăng hoặc luôn luôn giảm.
B. Nếu (un) là dãy số tăng thì lim un = + ∞ .
C. Nếu lim un = + ∞ và lim vn = + ∞ thì lim (un – vn) = 0
D. Nếu un = an và – 1 < a < 0 thì lim un = 0.
Lời giải:

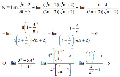
Bài 10 (trang 143 SGK Đại số 11):

Lời giải:

Bài 11 (trang 143 SGK Đại số 11):

Lời giải:

Bài 12 (trang 144 SGK Đại số 11):

Lời giải:

Bài 13 (trang 144 SGK Đại số 11):

Lời giải:

Bài 14 (trang 144 SGK Đại số 11):

Lời giải:

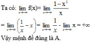
Bài 15 (trang 144 SGK Đại số 11): Cho phương trình -4x3 + 4x- 1 = 0 (1)
Mệnh đề sai:

Lời giải:
Đặt f(x) = -4x3 + 4x- 1
Xét f(-2) = -4. (-2)3 + 4.(-2) – 1 > 0
f(1)=-1<0
f(-2).f(1) <0
f(x) là hàm đa thức, liên tục trên R.
phương trình f(x) = 0 có ít nhất một nghiệm thuộc(-2; -1)
f(x) có ít nhất một nghiệm thuộc (- ∞; 1)
Vậy mệnh đề B sai.
------------------------------------
Trên đây VnDoc.com đã giới thiệu tới bạn đọc tài liệu: Giải bài tập Toán 11 ôn tập chương 4: Giới hạn. Để có kết quả cao hơn trong học tập, VnDoc xin giới thiệu tới các bạn học sinh tài liệu Hóa học lớp 10, Giải bài tập Hóa học lớp 11, Hóa học lớp 12, Thi thpt Quốc gia môn Văn, Thi thpt Quốc gia môn Lịch sử, Thi thpt Quốc gia môn Địa lý, Thi thpt Quốc gia môn Toán, đề thi học kì 1 lớp 11, đề thi học kì 2 lớp 11 mà VnDoc tổng hợp và đăng tải.
