Giải bài tập Toán 11 ôn tập chương 3: Dãy số - Cấp số cộng và cấp số nhân
Giải bài tập Toán 11 Giải tích: Ôn tập chương 3
VnDoc xin giới thiệu tới bạn đọc tài liệu Giải bài tập Toán 11 ôn tập chương 3: Dãy số - Cấp số cộng và cấp số nhân, hy vọng qua bộ tài liệu các bạn học sinh sẽ rèn luyện giải nhanh bài tập Toán một cách hiệu quả. Mời thầy cô cùng các bạn học sinh tham khảo.
Giải bài tập Toán 11 ôn tập chương 2: Tổ hợp - xác suất
Giải bài tập Toán 11 bài 1: Phương pháp quy nạp toán học
Giải bài tập Toán 11 bài 2: Dãy số
Giải bài tập Toán 11 Dãy số - Cấp số cộng và cấp số nhân
Bài 1 (trang 107 SGK Đại số 11):
Khi nào thì cấp số cộng là dãy số tăng, dãy số giảm?
Lời giải:
Ta có: un+1 – un = q => (un) là dãy số tăng nếu công sai q > 0, dãy số giảm nếu công sai q < 0.
Bài 2 (trang 107 SGK Đại số 11): Cho cấp số nhân có u1 < 0 và công bội q. Hỏi các số hạng khác sẽ mang dấu gì trong các trường hợp sau:
a. q > 0
b. q < 0
Lời giải:
a.Ta có: un = u1.qn-1 ∀n > 1, q > 0, u1 < 0 => un < 0 ∀ n > 1
b. Nếu q < 0, u1 < 0, ta có:
un = u1.qn-1 = (-1)n .|u1|.|qn-1| ∀ n > 1
un > 0 nếu n chẵn, và un < 0 nếu n lẻ.
Bài 3 (trang 107 SGK Đại số 11): Cho hai cấp số cộng có cùng các số hạng. Tổng các số hạng tương ứng của chúng có lập thành cấp số cộng không? Vì sao? Cho một ví dụ minh họa.
Lời giải:
Giả sử có hai cấp số cộng (un), (vn) có công sai lần lượt là d1, d2 cùng các số hạng bằng nhau, nghĩa là:
u1, u2, …, un (1) và v1, v2,…, vn (2)
Xét dãy số (an) với an = un + vn , n ∈ N*
a1 = u1 + v1
a2 = u2 + v2 = u1 + d1 + v1 + d2 = (u1 + v1) + (d1 + d2)
an = un + vn = u1 + (n – 1)d1 + v1 + ( n – 1)d2
= (u1 + v1) + (n – 1)(d1 + d2)
Điều đó cho thấy dãy số mà mỗi số hạng là tổng các số hạng tương ứng của hai cấp số cộng (1) và (2) cũng là một cấp số cộng với công sai bằng tổng các công sai của hai cấp số cộng kia.
Ví dụ: 1, 4, 7, 10, 13, 16 công sai: d1 = 3
20, 18, 16, 14, 12, 10 công sai: d2 = - 2
Dãy tổng các số hạng tương ứng là: 21, 22, 23, 24, 25, 26 là cấp số cộng có công sai
d = d1 + d2 = 3 + (-2) = 1.
Bài 4 (trang 107 SGK Đại số 11): Cho hai cấp số nhân có cùng các số hạng. Tích các số hạng tương ứng của chúng có lập thành cấp số nhân không? Vì sao? Cho một ví dụ minh họa.
Lời giải:
Giả sử có hai cấp số nhân (un), (vn) với công bội tương ứng q1 và q2.
Xét dãy số (an) với an = un.vn
Ta có: un = u1.q1n-1 vn = v1.q2n-1
an = un.vn = (u1v1).(q1q2)n-1
vậy dãy số (an) là cấp số nhân với công bội q = q1q2.
Bài 5 (trang 107 SGK Đại số 11): Chứng minh với mọi n ∈ N*, ta có:
a. 13n – 1 chia hết cho 6
b. 3n3 + 15 chia hết cho 9
Lời giải:
a. Xét un = 13n – 1
ta có: với n = 1 thì u1 = 13 – 1 = 12 chia hết 6
giả sử: uk = 13k – 1 chia hết cho 6
Ta có: uk+1 = 13k+1 – 1 = 13k+1 + 13k – 13k – 1
= 13k(13 – 1) + 13k – 1
= 12.13k + uk
=> uk+1 là tổng hai số hạng, mỗi số hạng chia hết cho 6.
Vậy uk+1 chia hết số 6
Như vậy, mỗi số hạng của dãy số (un) đều chia hết cho 6 ∀n ∈ N*
b. 3n3 + 15n chia hết cho 9
Đặt un = 3n3 + 15n
+ Với n = 1 => u1 = 18 chia hết 9
+ giả sử với n = k ≥ 1 ta có:
uk = (3k2 + 15k) chia hết 9 (giả thiết quy nạp)
+ Ta chứng minh: uk+1 chia hết 9
Thật vậy, ta có:
uk+1 = 3(k + 1)3 + 15(k + 1 ) = 3(k3 + 3k2 + 3k + 1) + 15k + 15
= (3k3 + 15k) + 9k2 + 9k + 18 = (3k3 + 15) + 9(k2 + k + 2)
= uk + 9(k2 + k + 2)
Theo giả thiết uk chia hết 9, hơn nữa 9(k2 + k + 2) chia hết 9 k ≥ 1
Do đó uk+1 cũng chia hết cho 9.
Vậy un = 3n3 + 15n chia hết cho 9 ∀n ∈ ∈ N*
Bài 6 (trang 107 SGK Đại số 11): Cho dãy số (un) biết u1 = 2, un+ 1 = 2un – 1 (với n ≥ 1)
a. Viết năm số hạng đầu của dãy.
b. Chứng minh un = 2n-1 + 1 bằng phương pháp quy nạp.
Lời giải:
a. 5 số hạng đầu dãy là:
u1 = 2; u2 = 2u1 – 1 = 3; u3 = 2u2 – 1 = 5;
u4 = 2u3 – 1 = 9 u5 = 2u4 – 1 = 17
b. Chứng minh: un = 2n-1 + 1 bằng phương pháp quy nạp:
Với n = 1 => u1 = 21-1 + 1 = 2 (đúng).
Giả sử (un) đúng với n = k ≥ 1
Tức là uk = 2k-1 + 1 (1)
Ta phải chứng minh phương trình đã cho đúng với n = k + 1 nghĩa là:
uk+1 = 2k+1-1 + 1 = 2k + 1
Theo giả thiết: uk+1 =2uk-1
(1) uk+1 = 2(2k-1 + 1) – 1 = 2.2k.2-1 + 2 – 1 = 2k + 1
Biểu thức đã cho đúng với n = k + 1, vậy nó đúng với n ∈ N*
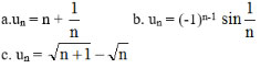
Bài 7 (trang 107 SGK Đại số 11): Xét tính tăng, giảm và bị chặn của các dãy số (un), biết:
Lời giải:

vì là dãy tăng nên u1 = 2 < u2 < u3 < …< un ∀n ∈ N*
=> un > 2 => (un) bị chặn dưới.
Vì un = n + 1 > n ∀n ∈ N*
=> (un) không bị chặn trên. Vậy un không bị chặn.

=> u1 > 0; u2 > 0; u3 > 0; u4 > 0
Và u1 > u2; u2 > u3; u3 > u4; …
Vậy dãy số (un) không tăng, không giảm => (un) không đơn điệu.

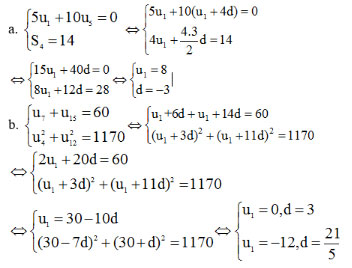
Bài 8 (trang 107 SGK Đại số 11): Tìm số hạng đầu u1 và công sai d của các cấp số cộng (un), biết:
![]()
Lời giải:

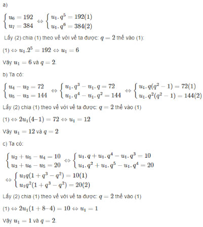
Bài 9 (trang 107 SGK Đại số 11): Tìm số hạng dầu u1 và công bội q của các cấp số nhân (un), biết:

Lời giải:
Dùng công thức: un = u1.qn-1 với n > 2

Bài 10 (trang 108 SGK Đại số 11): Tứ giác ABCD có số đo của các góc lập thành một cấp số cộng theo thứ tự A, B, C, D. Biết rằng góc C gấp 4 lần góc A. Tính các góc của tứ giác.
Lời giải:
Kí hiệu: ∠ : góc
Các góc của tứ giác là ∠A, ∠B, ∠C, ∠D (∠A > 0) tạo thành cấp số cộng:
Vậy ∠B=∠A + d, ∠C=∠A + 2d, ∠D= ∠A+3d.
Theo giả thiết ta có:∠ C =5∠A => ∠A + 2d = 5∠A <=> <=> 2d = 4∠A
Mặt khác ∠A + B ∠ + C ∠ + ∠D =360o
=> ∠A + ∠A +d + ∠A +2d + ∠A +3d = 360o
<=> 4∠A + 12∠A = 360o <=> 16∠A = 360o <=> ∠A= 22o30', d=45o
Vậy ∠B = 67o30'; ∠C = 112o30’; ∠D = 157o30'
Bài 11 (trang 108 SGK Đại số 11): Biết rằng ba x, y, z lập thành một cấp số nhân và ba số x, 2y, 3z lập thành một cấp số cộng. Tìm công bội của cấp số nhân.
Lời giải:
Cấp số nhân (un) có công bội q có thể viết dưới dạng:
u1,u1q,u1q2,…,u1qn-1
vì x, y, z lập thành cấp số nhân nên: y = x.q, z = x.q2 (1)
Mặt khác x, 2y, 3z lập thành cấp số cộng nên (x+3z)/2= 2y (2)

Bài 12 (trang 108 SGK Đại số 11): Người ta thiết kế một cái tháp gồm 11 tầng. Diện tích bề mặt trên của mỗi tầng bằng nửa diện tích của mặt trên của tầng ngay bên dưới và diện tích bề mặt trên của tầng một bằng nữa diện tích đế tháp. Biết diện tích mặt đế tháp là 12.288m2. Tính diện tích mặt trên cùng.
Lời giải:
Gọi S là diện tích mặt đáy của tháp
S = 12.288 m2
Gọi S1, S2, S3…S11 là diện tích bề mặt của mỗi tầng.
Diện tích của tầng một bằng nửa diện tích của đáy tháp

Vậy diện tích mặt trên cùng chính là diện tích tầng tháp thứ 11 nên:

Bài 13 (trang 108 SGK Đại số 11): Chứng minh rằng nếu các số a2, b2, c2 lập thành một cấp số cộng (a, b, c ≠ 0) thì các số 1/(b+c), 1/(c+a), 1/(a+b) cũng lập thành một cấp số cộng.
Lời giải:

Đẳng thức (1) thỏa khi a2, b2, c2 là cấp số cộng.
![]()
------------------------------------
Trên đây VnDoc.com đã giới thiệu tới bạn đọc tài liệu: Giải bài tập Toán 11 ôn tập chương 3: Dãy số - Cấp số cộng và cấp số nhân. Để có kết quả cao hơn trong học tập, VnDoc xin giới thiệu tới các bạn học sinh tài liệu Hóa học lớp 10, Giải bài tập Hóa học lớp 11, Hóa học lớp 12, Thi thpt Quốc gia môn Văn, Thi thpt Quốc gia môn Lịch sử, Thi thpt Quốc gia môn Địa lý, Thi thpt Quốc gia môn Toán, đề thi học kì 1 lớp 11, đề thi học kì 2 lớp 11 mà VnDoc tổng hợp và đăng tải.
