Giải bài tập Toán 11 chương 1 bài 4: Phép đối xứng tâm
Bài tập Toán lớp 11 Hình học chương 1
VnDoc.com xin giới thiệu tới các em học sinh tài liệu: Giải bài tập Toán 11 chương 1 bài 4: Phép đối xứng tâm, qua tài liệu sẽ giúp các em học sinh rèn luyện giải các bài tập Toán 11 Hình học chương 1 một cách nhanh và chính xác nhất. Mời các bạn và thầy cô tham khảo.
Giải bài tập Toán 11 chương 1 bài 5: Phép quay
Giải bài tập Toán 11 chương 1 bài 4: Phép đối xứng tâm
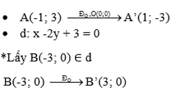
Bài 1 (trang 15 SGK Hình học 11): Trong mặt phẳng tọa độ Oxy cho điểm A(-1; 3) và đường thẳng d có phương trình x - 2y + 3 = 0. Tìm ảnh của A và d qua phép đối xứng tâm O.
Hướng dẫn. Sử dụng biểu thức tọa độ của phép đối xứng tâm.
Lời giải:

• Ảnh của d qua phép đối xứng tâm Đo là đường thẳng d’ song song với d và đi qua điểm B’(3; 0).
*d’ // d nên phương trình của d’ có dạng x - 2y + C = 0 (C ≠ 3)
*d’ qua B’(3; 0) nên 3 - 3.(0) + C = 0 C = -3
Vậy phương trình của d’ là x - 2y – 3 = 0
Bài 2 (trang 15 SGK Hình học 11): Trong các hình tam giác đều, hình bình hành, ngũ giác đều, lục giác đều, hình nào có tâm, đối xứng?
Lời giải:
• Tam giác đều và ngũ giác dều không có tâm đối xứng.
* Hình bình hành có tâm đối xứng là giao điểm của hai đường chéo.
* Hình lục giác đều có tâm đối xứng, đó là tâm đường tròn ngoại tiếp hình lục giác đều.
Bài 3 (trang 15 SGK Hình học 11): Tìm một hình có vô số tâm đối xứng.
Lời giải:
- Đường thẳng là một hình có vô số tâm đối xứng bởi bất kì điểm nào thuộc đường thẳng cũng đều là tâm đối xứng biến đường thẳng thành chính nó.

- Hình gồm hai đường thẳng song song d // d’ cũng có vô số tâm đối xứng là các điểm thuộc đường thẳng Δ song song cách đều d, d’.
