Bài tập ôn tập cuối năm Toán 11: Vectơ trong không gian. Quan hệ vuông góc trong không gian
Giải bài tập Hình học lớp 11
VnDoc.com xin giới thiệu tới bạn đọc tài liệu: Bài tập ôn tập cuối năm Toán 11: Vectơ trong không gian. Quan hệ vuông góc trong không gian, tài liệu sẽ giúp các bạn học sinh rèn luyện cách giải nhanh các bài tập Toán 11. Mời các bạn học sinh và thầy cô tham khảo.
Bài tập ôn tập cuối năm Toán 11: Vectơ trong không gian. Quan hệ vuông góc trong không gian
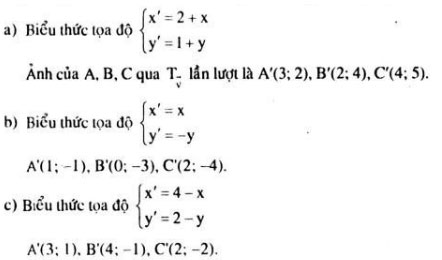
Bài 1 (trang 125 SGK Hình học 11): Trong mặt phẳng tọa độ Oxy, cho các điểm A (1;1), B(0;3), C(2;4). Xác định ảnh của tam giác ABC qua các phép biến hình sau.
(a)Phép tịnh tiến theo vector v = (2;1).
(b)Phép đối xứng qua trục Ox
(c)Phép đối xứng qua tâm I(2;1).
(d)Phép quay tâm O góc 90o.
(e)Phép đồng dạng có được bằng cách thực hiện liên tiếp phép đối xứng qua trụ Oy và phép vị tự tâm O tỉ số k = -2
Lời giải:
Gọi tam giác A'B'C' là ảnh của tam giác ABC qua phép biến hình trên.


Bài 2 (trang 125 SGK Hình học 11): Cho tam giác ABC nội tiếp đường tròn tâm O. Gọi G và H tương ứng là trọng tâm và trực tâm của tam giác, các điểm A', B',C' lần lượt là trung điểm của các cạnh BC, CA, AB.
(a) Tìm phép vị tự F biến A, B, C tương tứng thành A', B',C'
(b) Chứng minh rằng O, G, H thẳng hàng.
(c) Tìm ảnh của O qua phép vị tự F.
(d) Gọi A'', B'',C'' lần lượt là trung điểm của các đoạn thẳng AH, BH, CH; A1, B1,C1 theo thứ tự là giao điểm thứ hai của các tia AH, BH, CH với đường tròn (O); A'1, B'1,C'1 tương ứng là chân các đường cao đi qua A, B, C. Tìm ảnh của A, B, C,A1, B1,C1 qua phép vị tự tâm H tỉ số 1/2.
(e) Chứng minh chín điểm A', B',C',A'', B'',C'',A'1, B'1,C'1 cùng thuộc một đường tròn (đường tròn này gọi là đường tròn Ơ-le của tam giác ABC).
Lời giải:
(a) F là phép vị tự tâm G, tỉ số 1/2.
(b) Để ý rằng O là trực tâm của tam giác A'B'C'
(c) F(O) = O1 là trung điểm của OH.
(d) Ảnh của A, B, C , A1, B1,C1 qua phép vị tự tâm H tỉ số 1/2 tương ứng là A'', B'',C'',A'1, B'1,C'1.
(e) Chứng minh A'', B'',C'',A'1, B'1,C'1 cùng thuộc đường tròn (O1). Sau đó chứng minh A'B'C'cũng thuộc đường tròn (O1) . Chẳng hạn , chứng minh O1A'1 = O1A'.
Bài 3 (trang 126 SGK Hình học 11): Cho hình chóp S.ABCD có đáy ABCD là hình thang với AB là đáy lớn. Gọi M là trung điểm của đoạn AB, E là giao điểm của hai cạnh của hình thang ABCD và G là trọng tâm của tam giác ECD.
(a) Chứng minh rằng bốn điểm S, E, M, G cùng thuộc một mặt phẳng (α) và mặt phẳng này cắt cả hai mặt phẳng (SAC) và (SBD) theo cùng một giao tuyến d.
(b) Xác định giao tuyến của hai mặt phẳng (SAD) và (SBC).
(c) Lấy một điểm K trên đoạn SE và gọi C' = SC ∩KB, D'=SD ∩KA. Chứng minh rằng hai giao điểm của AC' và BD' thuộc đường thẳng d nói trên.
Lời giải:

Bài 4 (trang 126 SGK Hình học 11): Cho hình lăng trụ tứ giác ABCD.A'B'C'D' có E, F, M và N lần lượt là trung điểm của AC, BD, AC' và BD'. Chứng minh MN = EF.
Lời giải:

Bài 5 (trang 126 SGK Hình học 11): Cho hình lập phương ABCD.A'B'C'D' có E và F lần lượt là trung điểm của các cạnh AB và Đ'. Hãy xác định các thiết diện của hình lập phương cắt bởi các mặt phẳng (EFB), (EFC), (EFC') và (EFK) với K là trung điểm của cạnh B'C'
Lời giải:

Bài 6 (trang 126 SGK Hình học 11): Cho hình lập phương ABCD.A'B'C'D' có cạnh bằng a.
a) Hãy xác định đường vuông góc chung của hai đường thẳng chéo nhau BD' và B'C.
b) Tính khoảng cách của hai đường thẳng BD' và B'C
Lời giải:

Bài 7 (trang 126 SGK Hình học 11): Cho hình thang ABCD vuông tại A và B, có AD = 2a, AB = BC = a. Trên tia Ax vuông góc với mặt phẳng (ABCD) lấy một điểm S. Gọi C', D' lần lượt là hình chiếu vuông góc ucar A trên SC và SD. Chứng minh rằng:

Lời giải

