Câu hỏi trắc nghiệm Toán 11 chương 3: Vectơ trong không gian. Quan hệ vuông góc trong không gian
Câu hỏi trắc nghiệm Toán 11 Hình học chương 3
VnDoc.com xin giới thiệu tới bạn đọc tài liệu: Câu hỏi trắc nghiệm Toán 11 chương 3: Vectơ trong không gian. Quan hệ vuông góc trong không gian, tài liệu sẽ giúp các bạn học sinh giải nhanh các bài tập Toán Hình học chương 3 SGK. Mời các bạn và thầy cô tham khảo.
Câu hỏi trắc nghiệm Toán 11 chương 3: Vectơ trong không gian. Quan hệ vuông góc trong không gian
Bài 1 (trang 122 SGK Hình học 11): Trong các mệnh đề sau đây, mệnh đề nào là đúng.
Lời giải:
![]()
Bài 2 (trang 122 SGK Hình học 11): Tìm mệnh đề sai trong các mệnh đề sau đây

Lời giải:
Chọn D.
Bài 3 (trang 123 SGK Hình học 11):

Lời giải:

Bài 4 (trang 123 SGK Hình học 11): Trong các mệnh đề sau đây, mệnh đề nào là đúng?
(A) Nếu đường thẳng a vuông góc với đường thẳng b và đường thẳng b và đường thẳng b vuông góc với đường thẳng c thì a vuông góc với c.
(B) Nếu đường thẳng a vuông góc với đường thẳng b và song song với đường thẳng c thì a vuông góc với c.
(C) Cho ba đường thẳng a, b, c vuông góc với nhau từng đôi một. Nếu có một đường thẳng d vuông góc với a thì d song song với b hoặc c.
(D) Cho hai đường thẳng a và b song song với nhau. Một đường thẳng c vuông góc với a thì c vuông góc với mọi đường thẳng nằm trong mặt phẳng (a,b)
Lời giải:
Chọn B.
Bài 5 (trang 123 SGK Hình học 11): Trong các mệnh đề sau đây, hãy tìm mệnh đề đúng
(A) Hai mặt phẳng phân biệt cùng vuông góc với một mặt phẳng thứ ba thì song song với nhau.
(B) Nếu hai mặt phẳng vuông góc với nhau thì mọi đường thẳng thuộc mặt phẳng này sẽ vuông góc với mặt phẳng kia.
(C) Hai mặt phẳng (α) và (β) vuông góc với nhau và cắt nhau theo giao tuyến d. Với mỗi điểm A thuộc (α) và mỗi điểm B thuộc (β) thì ta có đường thẳng AB vuông góc với d.
(D) Nếu hai mặt phẳng (α) và (β) đều vuông góc với mặt phẳng (γ) thì giao tuyến d của (α) và (β) nếu có sẽ vuông góc với (γ)
Lời giải:
Chọn D.
Bài 6 (trang 123 SGK Hình học 11): Tìm mệnh đề sai trong các mệnh đề sau:
(A) Hai đường thẳng a và b trong không gian có các vector chỉ phương lần lượt là vector u và vector v. Điều kiện cần và đủ để a và b chéo nhau là a và b không có điểm chung và hai vector u và vector v không cùng phương.
(B) Cho a, b là hai đường thẳng chéo nhau và vuông góc với nhau. Đường vuông góc chung của a và b nằm trong mặt phẳng chứa đường này và vuông góc với đường kia.
(C) Không thể có một hình chóp tứ giác S.ABCD nào có hai mặt bên (SAB) và (SCD) cùng vuông góc với mặt phẳng đáy.
(D) Cho vector u và vector v là hai vector chỉ phương của hai đường thẳng cắt nhau nằm trong mặt phẳng (α) và vector n là vector chỉ phương của đường thăng Δ. Điều kiện cần và đủ để Δ ⊥ (α) là vector n nhân vector u bằng 0 và vector n nhân vector v bằng 0.
Lời giải:
Chọn C.
Bài 7 (trang 124 SGK Hình học 11): Trong các mệnh đề sau đây, mệnh đề nào là đúng?
(A) Một đường thẳng cắt hai đường thẳng cho trước thì cả ba đường thẳng đó cùng nằm trong một mặt phẳng.
(B) Một đường thẳng cắt hai đường thẳng cắt nhau cho trước thì cả ba đường thẳng đó cùng nằm trong một mặt phẳng.
(C) Ba đường thẳng cắt nhau từng đôi một thì cùng nằm trong một mặt phẳng.
(D) Ba đường thẳng cắt nhau từng đôi một và không nằm trong một mặt phẳng thì đồng quy.
Lời giải:
Chọn D.
Bài 8 (trang 124 SGK Hình học 11): Trong các mệnh đề sau, mệnh đề nào là đúng?
A) Hai đường thẳng phân biệt cùng vuông góc với một mặt phẳng thì song song.
(B) Hai mặt phẳng phân biệt cùng vuông góc với một mặt phẳng thì cắt nhau.
(C) Hai đường thẳng phân biệt cùng vuông góc với một đường thẳng thì song song.
(D) Hai đường thẳng không cắt nhau và không song song thì chéo nhau.
Lời giải:
Chọn A.
Bài 9 (trang 124 SGK Hình học 11): Trong các mệnh đề sau, mệnh đề nào là đúng?
(A) Hai đường thẳng phân biệt cùng song song với một mặt phẳng thì chéo nhau.
(B) Hai mặt phẳng phân biệt cùng vuông góc với một mặt phẳng thì cắt nhau.
(C) Hai đường thẳng phân biệt cùng vuông góc với một đường thẳng thì vuông góc với nhau.
(D) Một mặt phẳng (α) và một đường thẳng a không thuộc (α) cùng vuông góc với đường thẳng b thì (α) song song với a.
Lời giải:
Chọn D.
Bài 10 (trang 124 SGK Hình học 11): Tìm mệnh đề đúng trong các mệnh đề sau đây.
(A) Đoạn vuông góc chung của hai đường thẳng kéo nhau là đoạn ngắn nhất trong các đoạn thẳng nối hai điểm bất kì lần lượt nằm trên hai đường thẳng ấy và ngược lại.
(B) Qua một điểm cho trước có duy nhất một mặt phẳng vuông góc với một mặt phẳng cho trước.
(C) Qua một điểm cho trước có duy nhất một đường thẳng vuông góc với một đường thẳng cho trước.
(D) Cho ba đường thẳng a, b, c chéo nhau từng đôi một. Khi đó ba đường thẳng này sẽ nằm trong ba mặt phẳng song song với nhau từng đôi một.
Lời giải:
Chọn A.
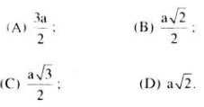
Bài 11 (trang 125 SGK Hình học 11): Khoảng cách giữa hai cạnh đối của một tứ diện đều cạnh a bằng kết quả nào trong các kết quả sau đây?

Lời giải
Chọn B.
