Giải bài tập Toán 11 bài tập ôn tập chương 1: Phép dời hình và phép đồng dạng trong mặt phẳng
Bài tập Toán lớp 11 Hình học chương 1
VnDoc.com xin giới thiệu tới các bạn học sinh tài liệu: Giải bài tập Toán 11 bài tập ôn tập chương 1: Phép dời hình và phép đồng dạng trong mặt phẳng, tài liệu sẽ giúp các bạn học sinh rèn luyện giải các bài tập Toán một cách nhanh nhất. Mời các bạn và thầy cô tham khảo.
Giải bài tập Toán 11 chương 1 bài 8: Phép đồng dạng
Giải bài tập Toán 11 chương 1 bài 7: Phép vị tự
Giải bài tập Toán 11 chương 1 bài 6: Khái niệm về phép dời hình và hai hình bằng nhau
Giải bài tập Toán 11 bài tập ôn tập chương 1: Phép dời hình và phép đồng dạng trong mặt phẳng
Bài 1 (trang 34 SGK Hình học 11): Cho lục giác đều ABCDEF tâm O. Tìm ảnh của tam giác AOF.
a. Qua phép tịnh tiến theo vectơ AB
b. Qua phép đối xứng qua đường thẳng BE.
c. Qua phép quay tâm O góc quay 120o.
Lời giải:
Ảnh của tam giác AOF:
a. Qua phép tịnh tiến TAB là tam giác BCO vì:
AB=OC=FO
b. Qua phép đối xứng trục ĐBE là tam giác COD vì:
• A và C đối xứng nhau qua đường thẳng BE;
• O bất biến tròn phép đối xứng trục ĐBE .
• F và D đối xứng nhau qua đường thẳng BE.
c. Qua phép quay Q(O;120o) là tam giác EOD vì: Q(O;120o), biến:

Bài 2 (trang 34 SGK Hình học 11): Trong mặt phẳng tọa độ Oxy cho điểm A(-1; 2) và đường thẳng d có phương trình 3x + y + 1 = 0. Tìm ảnh của A và d.
a. Qua phép tịnh tiến theo vectơ v = (2; 1);
b. Qua phép đối xứng trục Oy;
c. Qua phép đối xứng qua gốc tọa độ;
d. Qua phép quay tâm O góc 90o.
Lời giải:
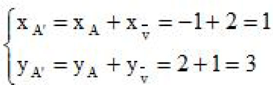
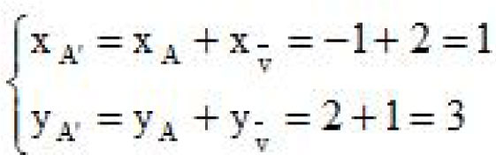
Gọi A’, d’ là ảnh của A và d qua các phép biến hình.
a. Qua phép tịnh tiến Tv

Vậy A’(1 ;3)
d’//d nên phương trình d’ có dạng:
3x + y + C = 0 => C = - 6.
Vậy phương trình d’ là 3x + y – 6 = 0
b. Ta thấy d qua A và B (0 ; -1)
ĐOy biến A thành A’(1 ; 2), biến B thành B (0 ; -1)
Vậy d’ là đường thẳng A’B’ có phương trình:
c. Đo biến A thành A’(1 ; -2), biến B thành B’(0 ; 1)
Vậy d’ là đường thẳng A’B’ có phương trình:

d. Gọi M(-1 ; 0) và N(0 ; 2) lần lượt là hình chiếu của A(-1 ; 2) trên Ox, Oy.
Q(O;90o) biến N thành N’(-2 ; 0), biến A thành A’, biến M thành B(0 ; -1).
Vậy Q(O;90o) biến hình chữ nhật ONAM thành hình chữ nhật ON’A’B. Do đó A’(-2 ; -1) đi qua A và B, Q(O;90o) biến A thành A’(-2 ;-1) biến B thành B’(1 ; 0)
Vậy Q(O;90o) biến d thành d’ qua hai điểm A’, B’
Do đó phương trình d’ là:
![]()
Tài liệu vẫn còn, mời các bạn tải để tham khảo.
- Bài 1: Đại cương về đường thẳng và mặt phẳng
- Hình học 11 bài 1: Đại cương về đường thẳng và mặt phẳng
- Giải bài tập Toán 11 chương 2 bài 1: Đại cương về đường thẳng và mặt phẳng
- Bài 2: Hai đường thẳng chéo nhau và hai đường thẳng song song
- Toán 11 Bài 2: Hai đường thẳng chéo nhau và hai đường thẳng song song
- Giải bài tập Toán 11 chương 2 bài 2: Hai đường thẳng chéo nhau và hai đường thẳng song song
- Bài 3: Đường thẳng và mặt phẳng song song
- Toán 11 Bài 3: Đường thẳng và mặt phẳng song song
- Giải bài tập Toán 11 chương 2 bài 3: Đường thẳng và mặt phẳng song song
- Bài 4: Hai mặt phẳng song song
- Giải bài tập Toán 11 chương 2 bài 4: Hai mặt phẳng song song
- Bài 5: Phép chiếu song song. Hình biểu diễn của một hình không gian
- Tóm tắt lý thuyết Toán 11 bài 5: Phép chiếu song song. Hình biểu diễn của một hình không gian
- Câu hỏi ôn tập chương 2
- Giải bài tập Toán 11 câu hỏi ôn tập chương 1: Phép dời hình và phép đồng dạng trong mặt phẳng
- Bài tập ôn tập chương 2
- Giải bài tập Toán 11 bài tập ôn tập chương 1: Phép dời hình và phép đồng dạng trong mặt phẳng
- Câu hỏi trắc nghiệm chương 2
- Câu hỏi trắc nghiệm Toán 11 chương 1: Phép dời hình và phép đồng dạng trong mặt phẳng
- Bài 1: Vectơ trong không gian
- Giải bài tập Toán 11 chương 3 bài 1: Vectơ trong không gian
- Bài 2: Hai đường thẳng vuông góc
- Giải bài tập Toán 11 chương 3 bài 2: Hai đường thẳng vuông góc
- Bài 3: Đường thẳng vuông góc với mặt phẳng
- Giải bài tập Toán 11 chương 3 bài 3: Đường thẳng vuông góc với mặt phẳng
- Bài 4: Hai mặt phẳng vuông góc
- Giải bài tập Toán 11 chương 3 bài 4: Hai mặt phẳng vuông góc
- Bài 5: Khoảng cách
- Giải bài tập Toán 11 chương 3 bài 5: Khoảng cách
- Câu hỏi ôn tập chương 3
- Giải bài tập Toán 11 câu hỏi ôn tập chương 3: Vectơ trong không gian. Quan hệ vuông góc trong không gian
- Bài tập ôn tập chương 3
- Giải bài tập Toán 11 bài tập ôn tập chương 3: Vectơ trong không gian. Quan hệ vuông góc trong không gian
- Câu hỏi trắc nghiệm chương 3
- Câu hỏi trắc nghiệm Toán 11 chương 3: Vectơ trong không gian. Quan hệ vuông góc trong không gian
- Bài tập ôn tập cuối năm
- Bài tập ôn tập cuối năm Toán 11: Vectơ trong không gian. Quan hệ vuông góc trong không gian