Giải bài tập Toán 11 bài 5: Đạo hàm cấp hai
Giải bài tập Toán 11 Giải tích: Đạo hàm cấp hai
VnDoc xin giới thiệu tới bạn đọc tài liệu Giải bài tập Toán 11 bài 5: Đạo hàm cấp hai, chắc chắn bộ tài liệu sẽ là nguồn thông tin hữu ích để giúp các bạn học sinh rèn luyện giải bài tập Toán nhanh và chính xác hơn. Mời thầy cô cùng các bạn học sinh tham khảo.
Giải bài tập Toán 11 ôn tập chương 4: Giới hạn
Giải bài tập Toán 11 bài 1: Định nghĩa và ý nghĩa của đạo hàm
Giải bài tập Toán 11 bài 2: Quy tắc tính đạo hàm
Giải bài tập Toán 11 Đạo hàm cấp hai
Bài 1 (trang 174 SGK Đại số 11):
Lời giải:

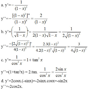
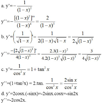
Bài 2 (trang 174 SGK Đại số 11): Tính đạo hàm cấp hai của các hàm số sau:

Lời giải:

------------------------------------
Trên đây VnDoc.com đã giới thiệu tới bạn đọc tài liệu: Giải bài tập Toán 11 bài 5: Đạo hàm cấp hai. Để có kết quả cao hơn trong học tập, VnDoc xin giới thiệu tới các bạn học sinh tài liệu Hóa học lớp 10, Giải bài tập Hóa học lớp 11, Hóa học lớp 12, Thi thpt Quốc gia môn Văn, Thi thpt Quốc gia môn Lịch sử, Thi thpt Quốc gia môn Địa lý, Thi thpt Quốc gia môn Toán, đề thi học kì 1 lớp 11, đề thi học kì 2 lớp 11 mà VnDoc tổng hợp và đăng tải.
