Giải bài tập Toán 11 bài 3: Đạo hàm của hàm số lượng giác
Giải bài tập Toán 11 Giải tích: Đạo hàm của hàm số lượng giác
VnDoc xin giới thiệu tới bạn đọc tài liệu Giải bài tập Toán 11 bài 3: Đạo hàm của hàm số lượng giác, nội dung tài liệu gồm 8 bài tập kèm theo lời giải chi tiết sẽ giúp các bạn học sinh có kết quả cao hơn trong học tập.
Giải bài tập Toán 11 bài 2: Giới hạn của hàm số
Giải bài tập Toán 11 bài 3: Hàm số liên tục
Giải bài tập Toán 11 ôn tập chương 4: Giới hạn
Giải bài tập Toán 11 bài 1: Định nghĩa và ý nghĩa của đạo hàm
Giải bài tập Toán 11 Đạo hàm của hàm số lượng giác
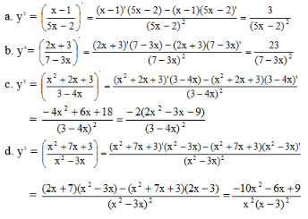
Bài 1 (trang 168 SGK Đại số 11): Tìm đạo hàm của các hàm số sau:
Lời giải:

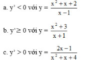
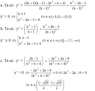
Bài 2 (trang 168 SGK Đại số 11): Giải các bất phương trình sau:

Lời giải:

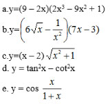
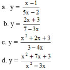
Bài 3 (trang 169 SGK Đại số 11): Tìm đạo hàm của các hàm số sau:

Lời giải:


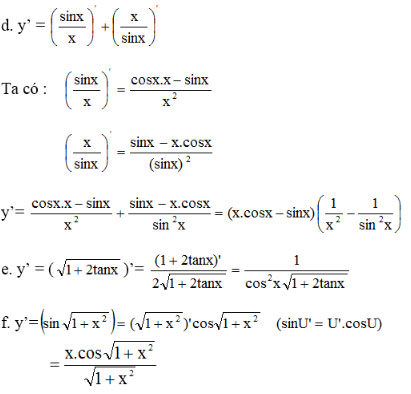
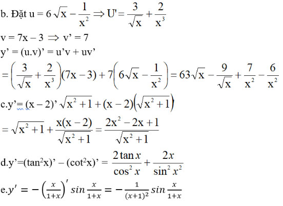
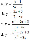
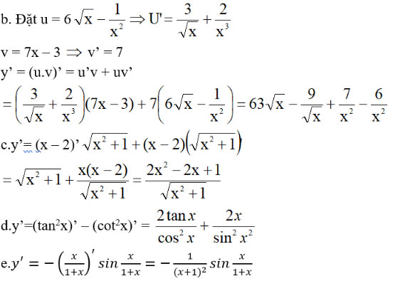
Bài 4 (trang 169 SGK Đại số 11): Tìm đạo hàm của các hàm số sau:

Lời giải:
a.y’=[(9 - 2x)(2x3 – 9x2 + 1)]’
= (9 – 2x )’ (2x3 – 9x2 + 1) + (9 – 2x)(2x3 – 9x2 + 1)’
= - 2(2x3 – 9x2 + 1) + (9 – 2x)(6x2 – 18x)
= -16x3 – 108x2 – 162x – 2

Bài 5 (trang 169 sgk Đại Số 11): Tính ...

Lời giải:

Bài 6 (trang 169 SGK Đại số 11): Chứng minh rằng các hàm số sau có đạo hàm không phụ thuộc x:

Lời giải:


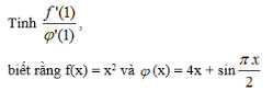
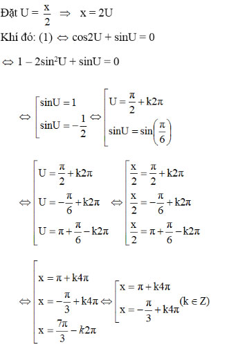
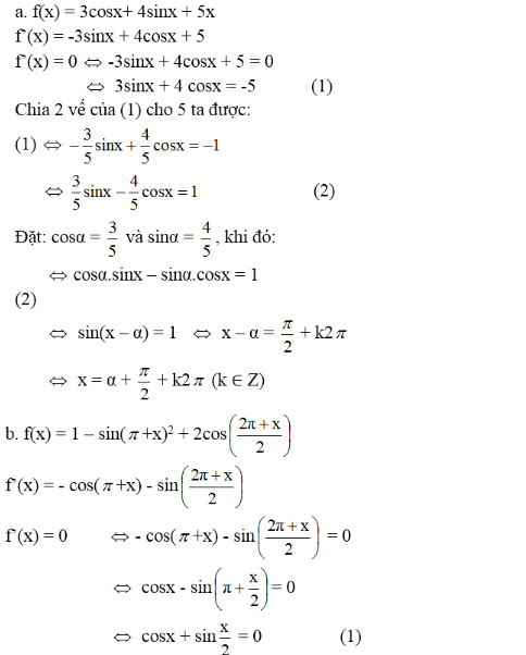
Bài 7 (trang 169 SGK Đại số 11 ): Giải phương trình f'(x) = 0, biết rằng:

Lời giải:


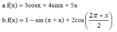
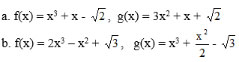
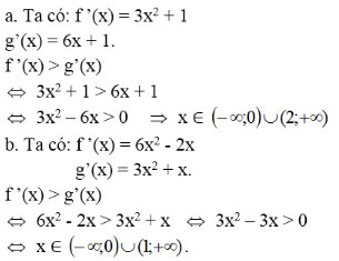
Bài 8 (trang 169 SGK Đại số 11): Giải bất phương trình f'(x) > g'(x), biết rằng:

Lời giải:

------------------------------------
Trên đây VnDoc.com đã giới thiệu tới bạn đọc tài liệu: Giải bài tập Toán 11 bài 3: Đạo hàm của hàm số lượng giác. Để có kết quả cao hơn trong học tập, VnDoc xin giới thiệu tới các bạn học sinh tài liệu Hóa học lớp 10, Giải bài tập Hóa học lớp 11, Hóa học lớp 12, Thi thpt Quốc gia môn Văn, Thi thpt Quốc gia môn Lịch sử, Thi thpt Quốc gia môn Địa lý, Thi thpt Quốc gia môn Toán, đề thi học kì 1 lớp 11, đề thi học kì 2 lớp 11 mà VnDoc tổng hợp và đăng tải.
