Giải bài tập trang 28, 29 SGK Giải tích 11: Phương trình lượng giác cơ bản
Giải bài tập trang 28, 29 SGK Giải tích 11
Giải bài tập trang 28, 29 SGK Giải tích 11: Phương trình lượng giác cơ bản. Lời giải hay bài tập Toán 11 này sẽ giúp các bạn học sinh hiểu thêm về bài phương trình lượng giác cơ bản thông qua việc giải các bài tập trong SGK trang 28, 29. Mời các bạn tham khảo.
Giải bài tập Toán 11 bài 1, 2, 3, 4, 5, 6, 7 trang 28, 29 SGK
Bài 1 Trang 28 SGK Giải tích lớp 11
Giải các phương trình sau:
\(a)\sin(x+2)=\frac{1}{3}\)
\(b)\sin3x=1\)
\(c)\sin(\frac{2x}{3}-\frac{\pi}{3})=0\)
\(d)\sin(2x+ 20^{\circ} )=\frac{(-\sqrt{3})}{2}\)
Hướng dẫn giải bài 1:
\(a)\sin(x+2)=\frac{1}{3}\)

b) sin3x = 1 ⇔ 3x = π/2 + k2π
⇔ x = π/6 + k(2π/3), (k ∈ Z).
\(c)\sin(\frac{2x}{3}-\frac{\pi}{3})=0\)
\(\Leftrightarrow \frac{2x}{3}-\frac{\pi}{3}=k\pi\ \Rightarrow \ x\ =\ \frac{\pi}{2}\ +\frac{3\pi}{2}k\)
(k ∈ Z).
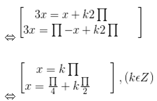
d) Vì -√3/2 = sin(-600) nên phương trình đã cho tương đương với sin (2x + 200) = sin(-600)
⇔
Bài 2 Trang 28 SGK Giải tích lớp 11
Với những giá trị nào của x thì giá trị của các hàm số y = sin3x và y = sinx bằng nhau?
Hướng dẫn giải bài 2:
x thỏa mãn yêu cầu bài ra khi và chỉ khi
Bài 3 Trang 28 SGK Giải tích lớp 11
Giải các phương trình sau:
a) cos(x – 1) = 2/3
b) cos3x = cos120
c) cos(3x/2 – π/4) = -1/2
d) cos22x = 1/4
Hướng dẫn giải bài 3:
a) cos(x - 1) = 2/3 ⇔ x - 1 = ±arccos2/3 + k2π
⇔ x = 1 ± arccos2/3 + k2π, (k ∈Z)
b) cos3x = cos120 ⇔ 3x = ±120 + k3600 ⇔ x = ±40 + k1200, (k ∈ Z).
c) Vì -1/2 = cos2π/3 nên cos(3x/2 - π/4) = -1/2 ⇔ cos(3x/2 - π/4) = cos2/3 ⇔ 3x/2 - π/4 = ±2π/3 + k2π ⇔ x = 2/3(π/4 + 2π/3) + 4kπ/3

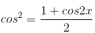
d) Sử dụng công thức hạ bậc
(suy ra trực tiếp từ công thức nhan đôi) ta có
cos22x = 1/4 ⇔ 1 + cos4x/2 = 1/4 ⇔ cos4x = -1/2
⇔ 4x = ±2π/3 + 2kπ ⇔ x = ±π/6 + kπ/2, (k ∈ Z)
Bài 4 Trang 29 SGK Giải tích 11
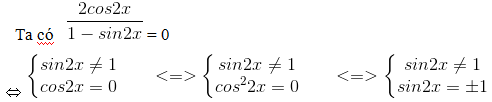
Giải phương trình ![]()
Hướng dẫn giải bài 4
⇔ sin2x = -1 ⇔ 2x = -π/2 + k2π ⇔ x = -π/4 + kπ, (k ∈ Z).
Bài 5 Trang 29 SGK Giải tích lớp 11
Giải các phương trình sau:
a) tan(x – 150) = (√3)/3 b) cot(3x – 1) = -√3
c) cos2x . tanx = 0 d) sin3x . cotx = 0
Đáp án và hướng dẫn giải bài 5:
a) Vì
= tan300 nên tan(x – 150) =
⇔ tan(x – 150) = tan300 ⇔ x – 150 = 300 + k1800 ⇔ x = 450 + k1800, (k ∈ Z).
b) Vì -√3 = cot(-π/6) nên cot(3x – 1) = -√3 ⇔ cot(3x – 1) = cot(-π/6)
⇔ 3x – 1 = -π/6 + kπ ⇔ x = -π/18 + 1/3 + k(π/3), (k ∈ Z)
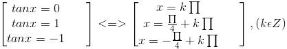
c) Đặt t = tan x thì cos2x =
, phương trình đã cho trở thành
. t = 0 ⇔ t ∈ {0; 1; -1} .
Vì vậy phương trình đã cho tương đương với

d) sin3x . cotx = 0
⇔
Với điều kiện sinx # 0, phương trình tương đương với
sin3x . cosx = 0 ⇔ sin3x = 0; cos3x = 0
Với cosx = 0 ⇔ x = π/2 + kπ, k ∈ Z thì sin2x = 1 – cos2x = 1 – 0 = 1 => sinx # 0, điều kiện được thỏa mãn.
Với sin3x = 0 ⇔ 3x = kπ ⇔ x = k(π/3), (k ∈ Z). Ta còn phải tìm các k nguyên để x = k(π/3) vi phạm điều kiện (để loại bỏ), tức là phải tìm k nguyên sao cho sink(π/3) = 0, giải phương trình này (với ẩn k nguyên), ta có sink(π/3) = 0 ⇔ k(π/3)= lπ, (l ∈ Z) ⇔ k = 3l ⇔ k : 3.
Do đó phương trình đã cho có nghiệm là x = π/2 + kπ, (k ∈Z) và x = k(π/3) (với k nguyên không chia hết cho 3).
Nhận xét: Các em hãy suy nghĩ và giải thích tại sao trong các phần a, b, c không phải đặt điều kiện có nghĩa và cũng không phải tìm nghiệm ngoại lai.
Bài 6 Trang 29 SGK Giải tích lớp 11
Với những giá trị nào của x thì gia trị của các hàm số y = tan(π/4 - x) và y = tan2x bằng nhau?
Đáp án và hướng dẫn giải bài 6:
Các giá trị cần tìm của x là các nghiệm của phương trình tan 2x = tan(π/4 – x), giải phương trình này các em có thể xem trong Ví dụ 3b.
Đáp số: π/2 ( k ∈ Z, k – 2 không chia hết cho 3).
Bài 7 rang 29 SGK Giải tích lớp 11
Giải các phương trình sau:
a) sin3x – cos5x = 0 b) tan3x . tanx = 1.
Đáp án và hướng dẫn giải bài 7:
a) sin3x – cos5x = 0 ⇔ cos5x = sin3x ⇔ cos5x = cos(π/2 – 3x) ⇔

b) tan3x . tanx = 1 ⇔
Điều kiện: cos3x . cosx # 0.
Với điều kiện này phương trình tương đương với cos3x . cosx = sin3x . sinx ⇔ cos3x . cosx – sin3x . sinx = 0 ⇔ cos4x = 0.
Do đó

Giải bài tập trang 28, 29 SGK Giải tích 11: Phương trình lượng giác cơ bản vừa được VnDoc.com gửi tới bạn đọc. Hi vọng qua bài viết này bạn đọc có thêm nhiều tài liệu để học tập tốt hơn môn Toán lớp 11. Để giúp các bạn có thêm nhiều tài liệu học tập hơn nữa, VnDoc.com mời các bạn cùng tham khảo thêm kiến thức tài liệu học tập các môn Ngữ văn 11, Tiếng Anh 11, đề thi học kì 1 lớp 11, đề thi học kì 2 lớp 11...
Mời bạn đọc cùng tham gia nhóm Tài liệu học tập lớp 11 để có thêm tài liệu học tập nhé
Bài tiếp theo: Giải bài tập trang 36, 37 SGK Giải tích 11: Một số phương trình lượng giác thường gặp
- Giải bài tập trang 17, 18 SGK Giải tích 11: Hàm số lượng giác
- Đề thi giữa học kì 1 môn Toán lớp 11 trường THPT Giao Thủy, Nam Định
- 121 câu trắc nghiệm quan hệ song song